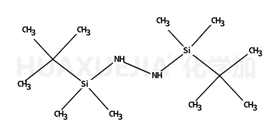
1,2-Bis-(tert-butyldimethylsilyl)hydrazine

1,2-Bis-(tert-butyldimethylsilyl)hydrazine 基本信息
CAS号 10000-20-1 分子式 C12H32N2Si2
分子量 260.56700 精确质量  260.21000
PSA  N/A LogP  N/A

合成路线 1

  • 18162-48-6

    叔丁基二甲基氯硅烷

  • ~80%

  • 10000-20-1

    1,2-Bis-(tert-butyldimethylsilyl)hydrazine

  • 2644-70-4

    盐酸肼

  • +

  • 18162-48-6

    叔丁基二甲基氯硅烷

  • ~26%

  • 10000-20-1

    1,2-Bis-(tert-butyldimethylsilyl)hydrazine

  • 2357-76-8

    2357-76-8

  • 10000-20-1

    1,2-Bis-(tert-butyldimethylsilyl)hydrazine

  • 18163-07-0

    2-烯丙基三甲基硅烷

  • 10000-20-1

    1,2-Bis-(tert-butyldimethylsilyl)hydrazine