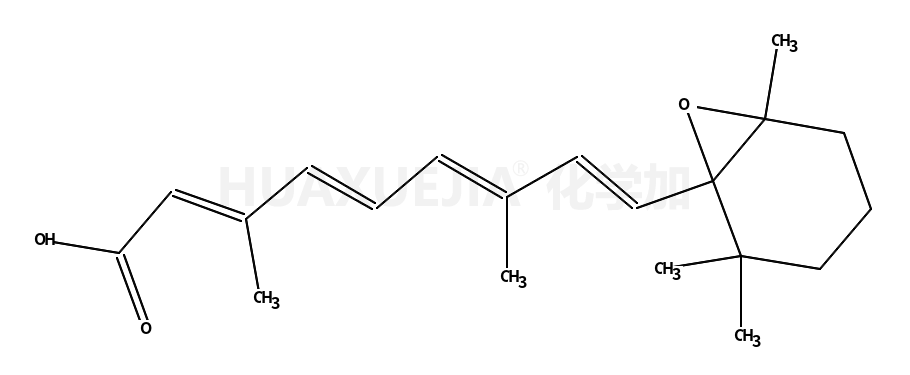
(2E,4E,6E,8E)-3,7-dimethyl-9-(1,5,5-trimethyl-7-oxabicyclo[4.1.0]heptan-6-yl)nona-2,4,6,8-tetraenoic acid

(2E,4E,6E,8E)-3,7-dimethyl-9-(1,5,5-trimethyl-7-oxabicyclo[4.1.0]heptan-6-yl)nona-2,4,6,8-tetraenoic acid 基本信息
CAS号 13100-69-1 分子式 C20H28O3
分子量 316.43500 精确质量  316.20400
PSA  N/A LogP  N/A

合成路线 1

  • 302-79-4

    维生素A酸

  • 13100-69-1

    (2E,4E,6E,8E)-3,7-dimethyl-9-(1,5,5-trimethyl-7-oxabicyclo[4.1.0]heptan-6-yl)nona-2,4,6,8-tetraenoic acid

  • 739-13-9

    (2E,4E,6Z,8E)-3,7-dimethyl-9-(1,5,5-trimethyl-7-oxabicyclo[4.1.0]heptan-6-yl)nona-2,4,6,8-tetraenal

  • 13100-69-1

    (2E,4E,6E,8E)-3,7-dimethyl-9-(1,5,5-trimethyl-7-oxabicyclo[4.1.0]heptan-6-yl)nona-2,4,6,8-tetraenoic acid

  • 339-16-2

    methyl (2E,4E,6E,8E)-3,7-dimethyl-9-(2,6,6-trimethylcyclohexen-1-yl)nona-2,4,6,8-tetraenoate

  • 13100-69-1

    (2E,4E,6E,8E)-3,7-dimethyl-9-(1,5,5-trimethyl-7-oxabicyclo[4.1.0]heptan-6-yl)nona-2,4,6,8-tetraenoic acid

  • 302-79-4

    维生素A酸

  • 13100-69-1

    (2E,4E,6E,8E)-3,7-dimethyl-9-(1,5,5-trimethyl-7-oxabicyclo[4.1.0]heptan-6-yl)nona-2,4,6,8-tetraenoic acid

  • +

  • 129454-99-5

    2E,4E-2-methyl-6-oxo-2,4-heptadienal