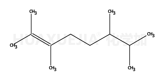
2,3,6,7-tetramethyloct-2-ene

2,3,6,7-tetramethyloct-2-ene 基本信息
CAS号 77101-68-9 分子式 C12H24
分子量 168.31900 精确质量  168.18800
PSA  N/A LogP  N/A

合成路线 1

  • 79-29-8

    2,3-二甲基丁烷

  • 1069-53-0

    2,3,5-三甲基己烷

  • +

  • 16747-28-7

    2,3,3-三甲基己烷

  • +

  • 62816-32-4

    2,3,5,5,6-pentamethylhept-2-ene

  • +

  • 62816-29-9

    2,3,3,6-tetramethyl-5-methylideneheptane

  • +

  • 77101-68-9

    2,3,6,7-tetramethyloct-2-ene

  • +

  • 94099-02-2

    2,3,7-trimethyl-6-methylideneoctane

  • 79-29-8

    2,3-二甲基丁烷

  • 52670-34-5

    tetramethyl-2,3,6,7 octane

  • +

  • 52670-35-6

    2,3,3,5,6-pentamethylheptane

  • +

  • 62816-32-4

    2,3,5,5,6-pentamethylhept-2-ene

  • +

  • 62816-29-9

    2,3,3,6-tetramethyl-5-methylideneheptane

  • +

  • 77101-68-9

    2,3,6,7-tetramethyloct-2-ene

  • +

  • 94099-02-2

    2,3,7-trimethyl-6-methylideneoctane

  • 79-29-8

    2,3-二甲基丁烷

  • 52670-34-5

    tetramethyl-2,3,6,7 octane

  • +

  • 62816-32-4

    2,3,5,5,6-pentamethylhept-2-ene

  • +

  • 62816-29-9

    2,3,3,6-tetramethyl-5-methylideneheptane

  • +

  • 77101-68-9

    2,3,6,7-tetramethyloct-2-ene

  • 79-29-8

    2,3-二甲基丁烷

  • 52670-34-5

    tetramethyl-2,3,6,7 octane

  • +

  • 52670-36-7

    2,3,3,4,4,5-hexamethylhexane

  • +

  • 62816-32-4

    2,3,5,5,6-pentamethylhept-2-ene

  • +

  • 77101-68-9

    2,3,6,7-tetramethyloct-2-ene