欢迎来到化学加!萃聚英才,共享化学!化学加,加您更精彩!
首页
注册入驻
网站资讯
化学加_合成化学产业资源聚合服务平台
www.huaxuejia.cn
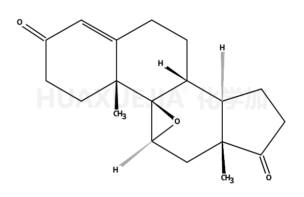
9|A,11|A-epoxyandrost-4-ene-3,17-dione
9|A,11|A-epoxyandrost-4-ene-3,17-dione 基本信息
CAS号
10104-53-7
分子式
C19H24O3
分子量
300.39200
精确质量
300.17300
PSA
N/A
LogP
N/A
合成路线
共
1
页
79884-52-9
9-bromo-11β-hydroxy-androst-4-ene-3,17-dione
→
10104-53-7
9
合成路线