冈田(软海绵)酸

冈田(软海绵)酸 基本信息
CAS号 78111-17-8 分子式 C44H68O13
分子量 805.00300 精确质量  804.46600
PSA  N/A LogP  N/A

合成路线 1

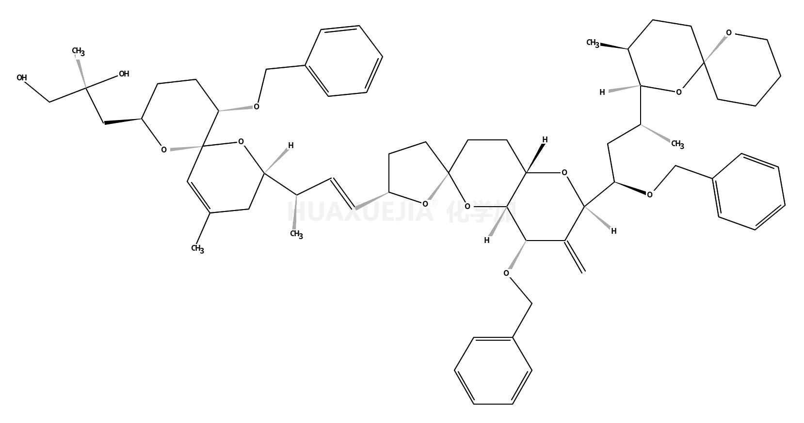
  • 104307-13-3

    tribenzyl okadaic acid

  • ~87%

  • 78111-17-8

    冈田(软海绵)酸

  • 102795-14-2

    102795-14-2

  • 78111-17-8

    冈田(软海绵)酸

  • 104307-00-8

    (((2R,4a'R,5R,6'R,7'R,8'R,8a'R)-7'-(benzyloxy)-8'-(methoxymethoxy)-6'-((trityloxy)methyl)octahydro-3H,3'H-spiro[furan-2,2'-pyrano[3,2-b]pyran]-5-yl)methoxy)(tert-butyl)diphenylsilane

  • 78111-17-8

    冈田(软海绵)酸

  • 109413-94-7

    ((2R,4a'R,5R,6'R,7'R,8'R,8a'R)-7'-(benzyloxy)-5-(((tert-butyldiphenylsilyl)oxy)methyl)-8'-(methoxymethoxy)octahydro-3H,3'H-spiro[furan-2,2'-pyrano[3,2-b]pyran]-6'-yl)methanol

  • 78111-17-8

    冈田(软海绵)酸

  • 104306-99-2

    (2R,4a'R,5R,6'R,7'R,8'R,8a'R)-5-(((tert-butyldiphenylsilyl)oxy)methyl)-6'-(hydroxymethyl)-8'-(methoxymethoxy)octahydro-3H,3'H-spiro[furan-2,2'-pyrano[3,2-b]pyran]-7'-ol

  • 78111-17-8

    冈田(软海绵)酸

  • 115352-18-6

    115352-18-6

  • 78111-17-8

    冈田(软海绵)酸

  • 115352-20-0

    115352-20-0

  • 78111-17-8

    冈田(软海绵)酸

  • 115352-16-4

    115352-16-4

  • 78111-17-8

    冈田(软海绵)酸

  • 115352-17-5

    115352-17-5

  • 78111-17-8

    冈田(软海绵)酸

  • 115352-15-3

    115352-15-3

  • 78111-17-8

    冈田(软海绵)酸

  • 104307-11-1

    104307-11-1

  • 78111-17-8

    冈田(软海绵)酸

  • 104307-12-2

    104307-12-2

  • 78111-17-8

    冈田(软海绵)酸

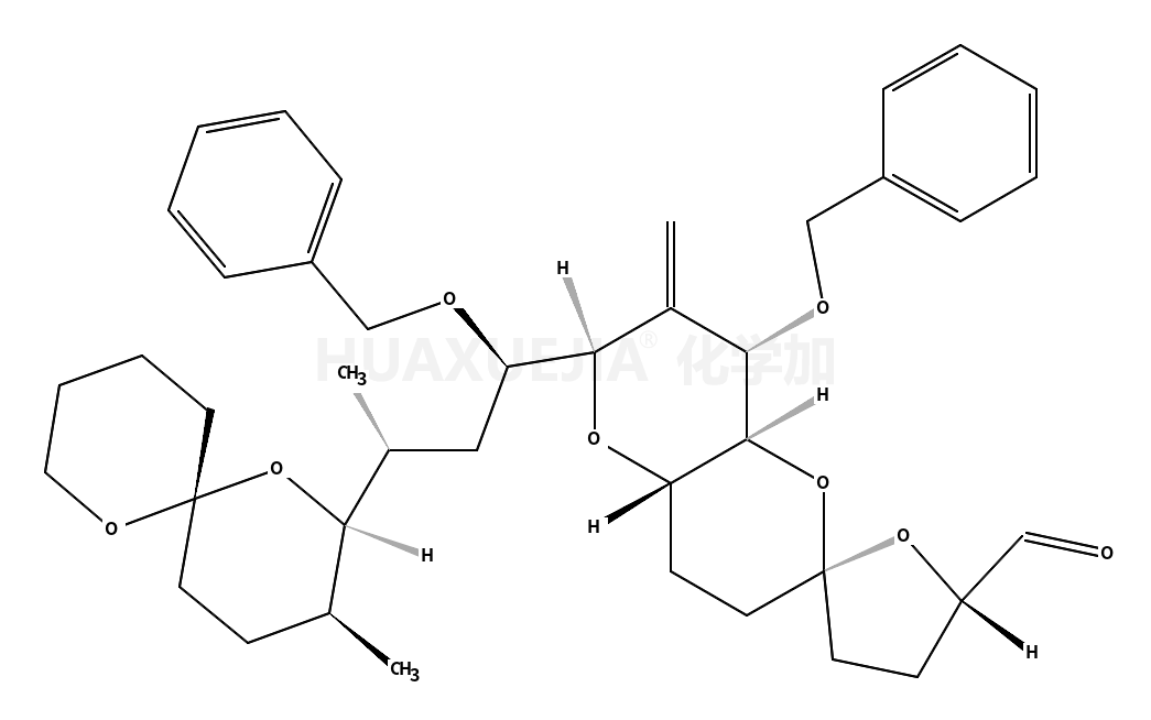
  • 104307-07-5

    (((2R,4a'R,5R,6'S,8'R,8a'R)-8'-(benzyloxy)-6'-((1S,3S)-1-(benzyloxy)-3-((2S,3R,6S)-3-methyl-1,7-dioxaspiro[5.5]undecan-2-yl)butyl)-7'-methyleneoctahydro-3H,3'H-spiro[furan-2,2'-pyrano[3,2-b]pyran]-5-yl)methoxy)(tert-butyl)diphenylsilane

  • 78111-17-8

    冈田(软海绵)酸

  • 104307-09-7

    (2R,4a'R,5R,6'S,8'R,8a'R)-8'-(benzyloxy)-6'-((1S,3S)-1-(benzyloxy)-3-((2S,3R,6S)-3-methyl-1,7-dioxaspiro[5.5]undecan-2-yl)butyl)-7'-methyleneoctahydro-3H,3'H-spiro[furan-2,2'-pyrano[3,2-b]pyran]-5-carbaldehyde

  • 78111-17-8

    冈田(软海绵)酸

  • 104307-08-6

    ((2R,4a'R,5R,6'S,8'R,8a'R)-8'-(benzyloxy)-6'-((1S,3S)-1-(benzyloxy)-3-((2S,3R,6S)-3-methyl-1,7-dioxaspiro[5.5]undecan-2-yl)butyl)-7'-methyleneoctahydro-3H,3'H-spiro[furan-2,2'-pyrano[3,2-b]pyran]-5-yl)methanol

  • 78111-17-8

    冈田(软海绵)酸

  • 104307-06-4

    (2R,4a'R,5R,6'S,8'R,8a'S)-5-(((tert-butyldiphenylsilyl)oxy)methyl)-6'-((1S,3S)-1-hydroxy-3-((2S,3R,6S)-3-methyl-1,7-dioxaspiro[5.5]undecan-2-yl)butyl)-7'-methyleneoctahydro-3H,3'H-spiro[furan-2,2'-pyrano[3,2-b]pyran]-8'-ol

  • 78111-17-8

    冈田(软海绵)酸

  • 115352-19-7

    115352-19-7

  • 78111-17-8

    冈田(软海绵)酸

  • 95791-14-3

    95791-14-3

  • 78111-17-8

    冈田(软海绵)酸

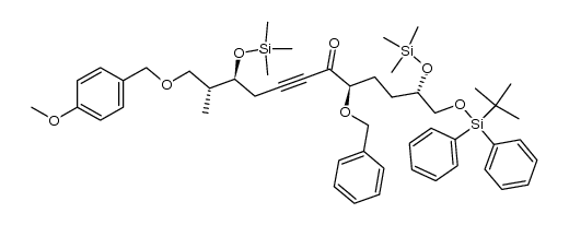
  • 104306-97-0

    (6R)-1-((4aR,6R,7R,8S,8aR)-7-(benzyloxy)-8-(methoxymethoxy)-2-phenylhexahydropyrano[3,2-d][1,3]dioxin-6-yl)-7-((tert-butyldiphenylsilyl)oxy)-6-(1-ethoxyethoxy)heptan-3-one

  • 78111-17-8

    冈田(软海绵)酸

  • 115369-32-9

    (R)-1-((2R,3R,4R,5R,6R)-3-(benzyloxy)-5-hydroxy-6-(hydroxymethyl)-4-(methoxymethoxy)tetrahydro-2H-pyran-2-yl)-7-((tert-butyldiphenylsilyl)oxy)-6-hydroxyheptan-3-one

  • 78111-17-8

    冈田(软海绵)酸

  • 115352-14-2

    115352-14-2

  • 78111-17-8

    冈田(软海绵)酸

  • 115352-13-1

    115352-13-1

  • 78111-17-8

    冈田(软海绵)酸

  • 93635-20-2

    93635-20-2

  • 78111-17-8

    冈田(软海绵)酸

  • 104307-05-3

    (1S,3S)-1-((2R,4a'R,5R,6'R,7'R,8'R,8a'R)-7'-(benzyloxy)-5-(((tert-butyldiphenylsilyl)oxy)methyl)-8'-(methoxymethoxy)octahydro-3H,3'H-spiro[furan-2,2'-pyrano[3,2-b]pyran]-6'-yl)-3-((2S,3R,6S)-3-methyl-1,7-dioxaspiro[5.5]undecan-2-yl)butan-1-ol

  • 78111-17-8

    冈田(软海绵)酸

  • 104307-03-1

    104307-03-1

  • 78111-17-8

    冈田(软海绵)酸

  • 104307-04-2

    (S)-1-((2R,4a'R,5R,6'S,7'S,8'R,8a'R)-7'-(benzyloxy)-5-(((tert-butyldiphenylsilyl)oxy)methyl)-8'-(methoxymethoxy)octahydro-3H,3'H-spiro[furan-2,2'-pyrano[3,2-b]pyran]-6'-yl)-3-((2S,3R,6S)-3-methyl-1,7-dioxaspiro[5.5]undecan-2-yl)butan-1-one

  • 78111-17-8

    冈田(软海绵)酸

  • 104307-01-9

    (2R,4a'R,5R,6'S,7'S,8'R,8a'R)-7'-(benzyloxy)-5-(((tert-butyldiphenylsilyl)oxy)methyl)-8'-(methoxymethoxy)octahydro-3H,3'H-spiro[furan-2,2'-pyrano[3,2-b]pyran]-6'-carbaldehyde

  • 78111-17-8

    冈田(软海绵)酸

  • 194039-18-4

    194039-18-4

  • 78111-17-8

    冈田(软海绵)酸

  • 194039-20-8

    194039-20-8

  • 78111-17-8

    冈田(软海绵)酸

  • 194039-22-0

    194039-22-0

  • 78111-17-8

    冈田(软海绵)酸

  • 203925-60-4

    203925-60-4

  • 78111-17-8

    冈田(软海绵)酸

  • 203925-57-9

    203925-57-9

  • 78111-17-8

    冈田(软海绵)酸

  • 203925-61-5

    203925-61-5

  • 78111-17-8

    冈田(软海绵)酸

  • 203925-62-6

    203925-62-6

  • 78111-17-8

    冈田(软海绵)酸

  • 194039-01-5

    194039-01-5

  • 78111-17-8

    冈田(软海绵)酸

  • 203926-65-2

    203926-65-2

  • 78111-17-8

    冈田(软海绵)酸

  • 203926-57-2

    203926-57-2

  • 78111-17-8

    冈田(软海绵)酸

  • 203926-59-4

    203926-59-4

  • 78111-17-8

    冈田(软海绵)酸

  • 203926-58-3

    203926-58-3

  • 78111-17-8

    冈田(软海绵)酸

  • 203926-60-7

    (2R,3S)-1-[(4-methoxyphenyl)methoxy]-2-methylhex-5-yn-3-ol

  • 78111-17-8

    冈田(软海绵)酸

  • 153185-63-8

    153185-63-8

  • 78111-17-8

    冈田(软海绵)酸

  • 135265-40-6

    135265-40-6

  • 78111-17-8

    冈田(软海绵)酸

  • 135265-42-8

    (R)-2-((R)-1-((4-methoxybenzyl)oxy)propan-2-yl)oxirane

  • 78111-17-8

    冈田(软海绵)酸

  • 203925-50-2

    203925-50-2

  • 78111-17-8

    冈田(软海绵)酸

  • 194039-13-9

    194039-13-9

  • 78111-17-8

    冈田(软海绵)酸

  • 203925-51-3

    203925-51-3

  • 78111-17-8

    冈田(软海绵)酸

  • 203925-48-8

    203925-48-8

  • 78111-17-8

    冈田(软海绵)酸

  • 194039-14-0

    194039-14-0

  • 78111-17-8

    冈田(软海绵)酸

  • 194039-24-2

    194039-24-2

  • 78111-17-8

    冈田(软海绵)酸

  • 194039-27-5

    194039-27-5

  • 78111-17-8

    冈田(软海绵)酸

  • 194038-97-6

    194038-97-6

  • 78111-17-8

    冈田(软海绵)酸

  • 194038-98-7

    194038-98-7

  • 78111-17-8

    冈田(软海绵)酸

  • 203926-61-8

    203926-61-8

  • 78111-17-8

    冈田(软海绵)酸

  • 194038-99-8

    194038-99-8

  • 78111-17-8

    冈田(软海绵)酸

  • 194039-03-7

    194039-03-7

  • 78111-17-8

    冈田(软海绵)酸

  • 203926-68-5

    203926-68-5

  • 78111-17-8

    冈田(软海绵)酸

  • 194039-05-9

    194039-05-9

  • 78111-17-8

    冈田(软海绵)酸

  • 203926-64-1

    203926-64-1

  • 78111-17-8

    冈田(软海绵)酸

  • 203926-63-0

    203926-63-0

  • 78111-17-8

    冈田(软海绵)酸

  • 194038-96-5

    194038-96-5

  • 78111-17-8

    冈田(软海绵)酸

  • 194038-95-4

    194038-95-4

  • 78111-17-8

    冈田(软海绵)酸