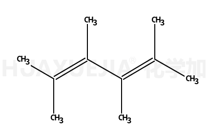
2,3,4,5-tetramethylhexa-2,4-diene

2,3,4,5-tetramethylhexa-2,4-diene 基本信息
CAS号 1114-06-3 分子式 C10H18
分子量 138.25000 精确质量  138.14100
PSA  N/A LogP  N/A

合成路线 1

  • 97040-44-3

    97040-44-3

  • ~86%

  • 1114-06-3

    2,3,4,5-tetramethylhexa-2,4-diene

  • +

  • 51504-54-2

    2,3,4,5-四甲基-1,4-己二烯

  • 96445-43-1

    96445-43-1

  • +

  • 77-78-1

    硫酸二甲酯

  • ~80%

  • 1114-06-3

    2,3,4,5-tetramethylhexa-2,4-diene

  • 2957-94-0

    2957-94-0

  • ~41%

  • 563-79-1

    2,3-二甲基-2-丁烯

  • +

  • 503-17-3

    2-丁炔

  • 3017-69-4

    1-溴-2-甲基-1-丙烯

  • +

  • 124-41-4

    甲醇钠

  • ~18%

  • 17574-84-4

    1-methoxy-2-methylprop-1-ene

  • +

  • 1114-06-3

    2,3,4,5-tetramethylhexa-2,4-diene

  • 34106-07-5

    (5-acetyloxy-2,5-dimethylhex-3-yn-2-yl) acetate

  • +

  • 75-16-1

    甲基溴化镁

  • 1726-48-3

    1726-48-3

  • +

  • 1114-06-3

    2,3,4,5-tetramethylhexa-2,4-diene

  • 2957-94-0

    2957-94-0

  • 1114-06-3

    2,3,4,5-tetramethylhexa-2,4-diene

  • 2431-31-4

    2,5-dimethylhexa-2,3,4-triene

  • 1114-06-3

    2,3,4,5-tetramethylhexa-2,4-diene

  • 20019-13-0

    1,2,2,3,4,4-hexamethylbicyclo[1.1.0]butane

  • 1114-06-3

    2,3,4,5-tetramethylhexa-2,4-diene

  • 97040-42-1

    97040-42-1

  • 1114-06-3

    2,3,4,5-tetramethylhexa-2,4-diene

  • 28895-02-5

    2,5-Hexanedione,3,4-dimethyl-, (3R,4S)-rel-

  • 1114-06-3

    2,3,4,5-tetramethylhexa-2,4-diene

  • 17530-24-4

    2,2,5,5-四甲基-3-己炔

  • 1114-06-3

    2,3,4,5-tetramethylhexa-2,4-diene