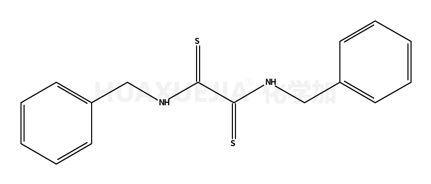
N,Nˊ-二苄基二硫代草酰胺

N,Nˊ-二苄基二硫代草酰胺 基本信息
CAS号 122-65-6 分子式 C16H16N2S2
分子量 300.44200 精确质量  300.07500
PSA  N/A LogP  N/A

合成路线 1

  • 33498-03-2

    33498-03-2

  • +

  • 100-46-9

    苯甲胺

  • ~61%

  • 122-65-6

    N,Nˊ-二苄基二硫代草酰胺

  • 107-14-2

    氯乙腈

  • +

  • 100-46-9

    苯甲胺

  • ~55%

  • 122-65-6

    N,Nˊ-二苄基二硫代草酰胺

  • 17008-22-9

    methyl cyanomethanedithioate

  • +

  • 100-46-9

    苯甲胺

  • ~26%

  • 122-65-6

    N,Nˊ-二苄基二硫代草酰胺

  • 64-17-5

    乙醇

  • +

  • 79-40-3

    二硫代乙酰胺

  • +

  • 100-46-9

    苯甲胺

  • 122-65-6

    N,Nˊ-二苄基二硫代草酰胺

  • 79-40-3

    二硫代乙酰胺

  • +

  • 100-46-9

    苯甲胺

  • 122-65-6

    N,Nˊ-二苄基二硫代草酰胺