奎宁

奎宁 基本信息
CAS号 130-95-0 分子式 C20H24N2O2
分子量 324.41700 精确质量  324.18400
PSA  45.59000 LogP  3.11110

等价的CAS号:

56-54-2,130-95-0,572-59-8,572-60-1,42151-59-7,47342-58-5,72402-50-7,72402-51-8,72402-52-9,72402-53-0,101143-86-6,101143-87-7,101143-88-8,146925-10-2

基本信息 展开↓

CAS号:
130-95-0
3D弹球模型:
立即前往扯扯看
分子式:
C20H24N2O2
分子量:
324.41700
中文名称:
奎宁
英文名称:
quinine
中文别名:
奎宁;
金鸡纳霜;
规宁;
鸡纳碱;
金鸡纳碱
英文别名:
quinine;
Quinie;
QUININE;
Kinidin-d3;
Quinina;
chinine;
Pitayin-d3;
(R)-(6-Methoxyquinolin-4-yl)((1R,2R,4R,5S)-5-vinylquinuclidin-2-yl)methanol;
Kinin;
Quinine;
Chinin;
Cinchonan-9-ol, 6'-methoxy-, (8alpha,9R)-
精确分子量/精确质量:
324.18400
极性分子表面积/PSA:
45.59000
油水分配系数/LogP:

LogP值指的是某物质在正辛醇/水两相体系中的分配系数的对数值,反映了物质在油水两相中的分配情况。其中、LogP值越大,说明该物质越亲油;反之,LogP值越小,则说明该物质越亲水。
贝尔斯坦号/MDL:
MFCD00198096
EINECS:
205-003-2
PubChem:
24848751
BRN:
91867
InChI:
InChI=1/C20H24N2O2/c1-3-13-12-22-9-7-14(13)10-19(22)20(23)16-6-8-21-18-5-4-15(24-2)11-17(16)18/h3-6,8,11,13-14,19-20,23H,1,7,9-10,12H2,2H3/p+1/t13-,14-,19-,20+/m0/s1

生产制备方法及用途展开↓

合成制备方法


1.将金鸡纳树的树皮或根皮去杂,干燥,粉碎后与碱石灰混合均匀。再用石油醚反复抽提,合并提取液,澄清后加入稀硫酸萃取,酸层浓缩结晶后便得硫酸奎宁。制成品有酸性硫酸奎宁和中性硫酸奎宁两种存在形式。酸性硫酸奎宁是一分子硫酸与一分子奎宁所形成的盐,其水溶性好且水溶液呈酸性。中性硫酸奎宁是两分子奎宁与一分硫酸所形成的盐,其水溶液呈中性但水溶性较差。医药常用的是酸性硫酸奎宁。

用途


1.奎宁对恶性疟的红细胞内型症原虫有抑制其繁殖或将其杀灭的作用,是一种重要的抗疟药。奎宁还有抑制心肌收缩力及增加子宫节律性收缩的作用。

物化性质展开↓

外观与性状:
斜方晶系的针状物,无味
密度:
1.21g/cm3
熔点:
176-177ºC
沸点:
495.9ºC at 760mmHg
闪点:
253.7ºC
水溶解性:
slightly soluble
折射率:
1.625 (15ºC)
蒸汽压:
0mmHg at 25°C
存储条件/存储方法:

棕色玻璃瓶闭光密封包装。贮存于低温干燥处。

稳定性相关:

在苯中结晶出的奎宁为针状结晶,含有溶剂,在空气中缓慢失去溶剂变为微小结晶无水物。

其它信息:

1.        性状:在苯中结晶出的奎宁为针状结晶,含有溶剂,在空气中缓慢失去溶剂变为微小结晶无水物。

2.        熔点(℃):173~177

3.        溶解性:难溶于水,易溶于乙醇、氯仿和沸苯,可溶于无水乙醚(1∶250)。

安全信息展开↓

包装等级:
III
风险类别:
6.1(b)
海关代码:
29392110
WGK_Germany:
3
德国有关水污染物质的分类清单
危险类别码:
R22;R36/37/38
安全说明:
S26-S37/39
安全标志:
S22:不要吸入粉尘。
S26:万一接触眼睛,立即使用大量清水冲洗并送医诊治。
S45:出现意外或者感到不适,立刻到医生那里寻求帮助(最好带去产品容器标签)。
:
危险标志:
Xn:Harmful

化学图谱

  1. 奎宁红外图谱(IR1)

  2. 奎宁红外图谱(IR2)

  3. 奎宁质谱(MS)

  4. 奎宁核磁图(13CNMR)

  5. 奎宁Raman光谱

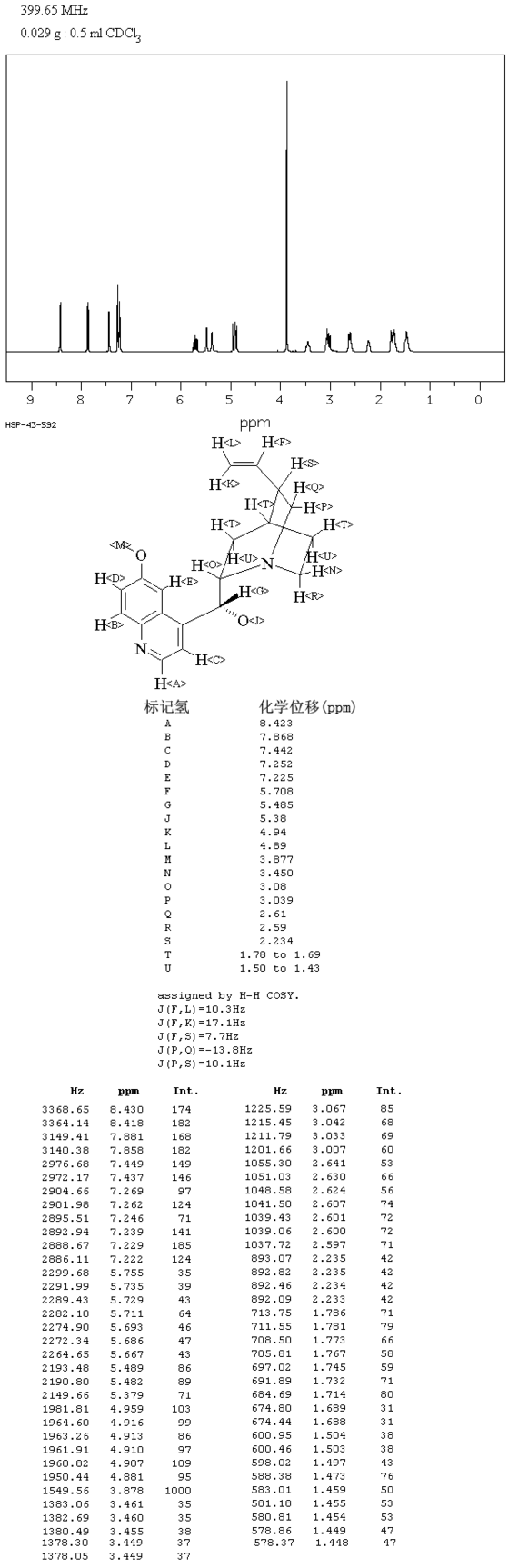
  6. 奎宁核磁图(1HNMR)

上一页 1/4 下一页

毒理性展开↓

CHEMICAL IDENTIFICATION

RTECS NUMBER :
VA6020000
CHEMICAL NAME :
Quinine
CAS REGISTRY NUMBER :
130-95-0
LAST UPDATED :
199701
DATA ITEMS CITED :
34
MOLECULAR FORMULA :
C20-H24-N2-O2
MOLECULAR WEIGHT :
324.46
WISWESSER LINE NOTATION :
T66 BNJ HO1 EYQ- DT66 A B CNTJ A1U1

HEALTH HAZARD DATA

ACUTE TOXICITY DATA

TYPE OF TEST :
TDLo - Lowest published toxic dose
ROUTE OF EXPOSURE :
Oral
SPECIES OBSERVED :
Human - woman
DOSE/DURATION :
74 mg/kg
TOXIC EFFECTS :
Sense Organs and Special Senses (Eye) - visual field changes Sense Organs and Special Senses (Ear) - tinnitus Gastrointestinal - nausea or vomiting
TYPE OF TEST :
LDLo - Lowest published lethal dose
ROUTE OF EXPOSURE :
Unreported
SPECIES OBSERVED :
Human - man
DOSE/DURATION :
294 mg/kg
TOXIC EFFECTS :
Details of toxic effects not reported other than lethal dose value
TYPE OF TEST :
LDLo - Lowest published lethal dose
ROUTE OF EXPOSURE :
Oral
SPECIES OBSERVED :
Rodent - rat
DOSE/DURATION :
800 mg/kg
TOXIC EFFECTS :
Details of toxic effects not reported other than lethal dose value
TYPE OF TEST :
LD - Lethal dose
ROUTE OF EXPOSURE :
Intraperitoneal
SPECIES OBSERVED :
Rodent - rat
DOSE/DURATION :
>100 mg/kg
TOXIC EFFECTS :
Details of toxic effects not reported other than lethal dose value
TYPE OF TEST :
LDLo - Lowest published lethal dose
ROUTE OF EXPOSURE :
Subcutaneous
SPECIES OBSERVED :
Rodent - rat
DOSE/DURATION :
200 mg/kg
TOXIC EFFECTS :
Cardiac - other changes Blood - other hemolysis with or without anemia Blood - other changes
TYPE OF TEST :
LD50 - Lethal dose, 50 percent kill
ROUTE OF EXPOSURE :
Intraperitoneal
SPECIES OBSERVED :
Rodent - mouse
DOSE/DURATION :
115 mg/kg
TOXIC EFFECTS :
Details of toxic effects not reported other than lethal dose value
TYPE OF TEST :
LDLo - Lowest published lethal dose
ROUTE OF EXPOSURE :
Subcutaneous
SPECIES OBSERVED :
Rodent - mouse
DOSE/DURATION :
200 mg/kg
TOXIC EFFECTS :
Cardiac - other changes Blood - other hemolysis with or without anemia Blood - other changes
TYPE OF TEST :
LD50 - Lethal dose, 50 percent kill
ROUTE OF EXPOSURE :
Intravenous
SPECIES OBSERVED :
Rodent - mouse
DOSE/DURATION :
68 mg/kg
TOXIC EFFECTS :
Details of toxic effects not reported other than lethal dose value
TYPE OF TEST :
LDLo - Lowest published lethal dose
ROUTE OF EXPOSURE :
Subcutaneous
SPECIES OBSERVED :
Mammal - dog
DOSE/DURATION :
180 mg/kg
TOXIC EFFECTS :
Details of toxic effects not reported other than lethal dose value
TYPE OF TEST :
LDLo - Lowest published lethal dose
ROUTE OF EXPOSURE :
Subcutaneous
SPECIES OBSERVED :
Mammal - cat
DOSE/DURATION :
100 mg/kg
TOXIC EFFECTS :
Details of toxic effects not reported other than lethal dose value
TYPE OF TEST :
LDLo - Lowest published lethal dose
ROUTE OF EXPOSURE :
Intravenous
SPECIES OBSERVED :
Mammal - cat
DOSE/DURATION :
100 mg/kg
TOXIC EFFECTS :
Details of toxic effects not reported other than lethal dose value
TYPE OF TEST :
LDLo - Lowest published lethal dose
ROUTE OF EXPOSURE :
Oral
SPECIES OBSERVED :
Rodent - rabbit
DOSE/DURATION :
500 mg/kg
TOXIC EFFECTS :
Details of toxic effects not reported other than lethal dose value
TYPE OF TEST :
LDLo - Lowest published lethal dose
ROUTE OF EXPOSURE :
Subcutaneous
SPECIES OBSERVED :
Rodent - rabbit
DOSE/DURATION :
231 mg/kg
TOXIC EFFECTS :
Details of toxic effects not reported other than lethal dose value
TYPE OF TEST :
LDLo - Lowest published lethal dose
ROUTE OF EXPOSURE :
Intravenous
SPECIES OBSERVED :
Rodent - rabbit
DOSE/DURATION :
70 mg/kg
TOXIC EFFECTS :
Details of toxic effects not reported other than lethal dose value
TYPE OF TEST :
LD50 - Lethal dose, 50 percent kill
ROUTE OF EXPOSURE :
Oral
SPECIES OBSERVED :
Rodent - guinea pig
DOSE/DURATION :
1800 mg/kg
TOXIC EFFECTS :
Details of toxic effects not reported other than lethal dose value
TYPE OF TEST :
LDLo - Lowest published lethal dose
ROUTE OF EXPOSURE :
Intramuscular
SPECIES OBSERVED :
Bird - pigeon
DOSE/DURATION :
500 mg/kg
TOXIC EFFECTS :
Details of toxic effects not reported other than lethal dose value
TYPE OF TEST :
LDLo - Lowest published lethal dose
ROUTE OF EXPOSURE :
Oral
SPECIES OBSERVED :
Amphibian - frog
DOSE/DURATION :
1500 mg/kg
TOXIC EFFECTS :
Details of toxic effects not reported other than lethal dose value
TYPE OF TEST :
LDLo - Lowest published lethal dose
ROUTE OF EXPOSURE :
Subcutaneous
SPECIES OBSERVED :
Amphibian - frog
DOSE/DURATION :
200 mg/kg
TOXIC EFFECTS :
Blood - other hemolysis with or without anemia
TYPE OF TEST :
LDLo - Lowest published lethal dose
ROUTE OF EXPOSURE :
Intramuscular
SPECIES OBSERVED :
Amphibian - frog
DOSE/DURATION :
400 mg/kg
TOXIC EFFECTS :
Details of toxic effects not reported other than lethal dose value
TYPE OF TEST :
TDLo - Lowest published toxic dose
ROUTE OF EXPOSURE :
Oral
DOSE :
20 mg/kg
SEX/DURATION :
female 4-5 week(s) after conception
TOXIC EFFECTS :
Reproductive - Specific Developmental Abnormalities - body wall Reproductive - Specific Developmental Abnormalities - musculoskeletal system
TYPE OF TEST :
TDLo - Lowest published toxic dose
ROUTE OF EXPOSURE :
Oral
DOSE :
27 ug/kg
SEX/DURATION :
female 46-48 day(s) after conception
TOXIC EFFECTS :
Reproductive - Specific Developmental Abnormalities - body wall Reproductive - Specific Developmental Abnormalities - cardiovascular (circulatory) system
TYPE OF TEST :
TDLo - Lowest published toxic dose
ROUTE OF EXPOSURE :
Oral
DOSE :
60 mg/kg
SEX/DURATION :
female 7 week(s) after conception
TOXIC EFFECTS :
Reproductive - Specific Developmental Abnormalities - Central Nervous System Reproductive - Specific Developmental Abnormalities - musculoskeletal system Reproductive - Specific Developmental Abnormalities - hepatobiliary system
TYPE OF TEST :
TDLo - Lowest published toxic dose
ROUTE OF EXPOSURE :
Intramuscular
DOSE :
10 mg/kg
SEX/DURATION :
female 5 day(s) after conception
TOXIC EFFECTS :
Reproductive - Fertility - pre-implantation mortality (e.g. reduction in number of implants per female; total number of implants per corpora lutea) Reproductive - Fertility - abortion Reproductive - Effects on Newborn - stillbirth
TYPE OF TEST :
TDLo - Lowest published toxic dose
ROUTE OF EXPOSURE :
Subcutaneous
DOSE :
280 mg/kg
SEX/DURATION :
female 7-8 day(s) after conception
TOXIC EFFECTS :
Reproductive - Effects on Embryo or Fetus - fetotoxicity (except death, e.g., stunted fetus) Reproductive - Specific Developmental Abnormalities - Central Nervous System
TYPE OF TEST :
TDLo - Lowest published toxic dose
ROUTE OF EXPOSURE :
Subcutaneous
DOSE :
650 mg/kg
SEX/DURATION :
female 4-8 day(s) after conception
TOXIC EFFECTS :
Reproductive - Fertility - post-implantation mortality (e.g. dead and/or resorbed implants per total number of implants) Reproductive - Effects on Embryo or Fetus - fetal death

MUTATION DATA

TYPE OF TEST :
DNA adduct
TEST SYSTEM :
Mammal - species unspecified Lymphocyte
DOSE/DURATION :
100 umol/L
REFERENCE :
PMSBA4 Progress in Molecular and Subcellular Biology. (Springer-Verlag, Heidelberger Pl. 3, D-1000 Berlin 33, Fed. Rep. Ger.) V.1- 1969- Volume(issue)/page/year: 2,134,1971 *** REVIEWS *** TOXICOLOGY REVIEW BCSTB5 Biochemical Society Transactions. (Biochemical Soc. Book Depot, POB 32, Commerce Way, Colchester, Essex CO2 8HP, UK) V.1- 1973- Volume(issue)/page/year: 2,695,1974 TOXICOLOGY REVIEW PLMJAP Pahlavi Medical Journal. (Shiraz, Iran) V.1-9, 1970-78. Volume(issue)/page/year: 6,160,1975 TOXICOLOGY REVIEW CLCHAU Clinical Chemistry (Winston-Salem, NC). (American Assoc. for Clinical Chemistry, 1725 K St., NW, Washington, DC 20006) V.1- 1955- Volume(issue)/page/year: 19,361,1973 TOXICOLOGY REVIEW ADVPA3 Advances in Pharmacology. (New York, NY) V.1-6, 1962-68. For publisher information, see AVPCAQ. Volume(issue)/page/year: 4,263,1966 TOXICOLOGY REVIEW FNSCA6 Forensic Science. (Lausanne, Switzerland) V.1-11, 1972-78. For pub lisher information, see FSINDR. Volume(issue)/page/year: 2,67,1973 *** NIOSH STANDARDS DEVELOPMENT AND SURVEILLANCE DATA *** NIOSH OCCUPATIONAL EXPOSURE SURVEY DATA : NOHS - National Occupational Hazard Survey (1974) NOHS Hazard Code - 83470 No. of Facilities: 68 (estimated) No. of Industries: 1 No. of Occupations: 1 No. of Employees: 68 (estimated)

MSDS 展开↓


模块 1. 化学品
  1.1 产品标识符
    : Quinine
    产品名称
  1.2 鉴别的其他方法
    无数据资料
  1.3 有关的确定了的物质或混合物的用途和建议不适合的用途
    仅用于研发。不作为药品、家庭或其它用途。

模块 2. 危险性概述
  2.1 GHS-分类
    皮肤刺激 (类别 2)
    眼睛刺激 (类别 2A)
    呼吸过敏 (类别 1)
    皮肤过敏 (类别 1)
    特异性靶器官系统毒性(一次接触) (类别 3)
  2.2 GHS 标记要素,包括预防性的陈述
    象形图
    警示词        危险    
    危险申明
    H315        造成皮肤刺激。    
    H317        可能导致皮肤过敏反应。    
    H319        造成严重眼刺激。    
    H334        吸入可能导致过敏或哮喘病症状或呼吸困难。    
    H335        可能引起呼吸道刺激。    
    警告申明
    预防措施
    P261        避免吸入粉尘/烟/气体/烟雾/蒸气/喷雾.    
    P264        操作后彻底清洁皮肤。    
    P271        只能在室外或通风良好之处使用。    
    P272        禁止将污染的工作服带出作业场所。    
    P280        穿戴防护手套/ 眼保护罩/ 面部保护罩。    
    P285        如通风不良,须戴呼吸防护设备。    
    事故响应
    P302 + P352        如果皮肤接触:用大量肥皂和水清洗。    
    P304 + P340        如吸入: 将患者移到新鲜空气处休息,并保持呼吸舒畅的姿势。    
    P305 + P351 + P338        如与眼睛接触,用水缓慢温和地冲洗几分钟。如戴隐形眼镜并可方便地取    
    出,取出隐形眼镜,然后继续冲洗.
    P321        具体处置(见本标签上提供的急救指导)。    
    P333 + P313        如出现皮肤刺激或皮疹:求医/就诊。    
    P337 + P313        如仍觉眼睛刺激:求医/就诊。    
    P342 + P311        如有呼吸系统病症:呼叫解毒中心或医生。    
    P362        脱掉沾污的衣服,清洗后方可再用。    
    安全储存
    P403 + P233        存放于通风良的地方。 保持容器密闭。    
    P405        存放处须加锁。    
    废弃处置
    P501        将内容物/ 容器处理到得到批准的废物处理厂。    
  2.3 其它危害物 - 无

模块 3. 成分/组成信息
  3.1 物 质
    : C20H24N2O2
    分子式
    : 324.42 g/mol
    分子量
    组分        浓度或浓度范围    
    Quinine
    <=100%
    化学文摘登记号(CAS        130-95-0    
    No.)        205-003-2    
    EC-编号

模块 4. 急救措施
  4.1 必要的急救措施描述
    一般的建议
    请教医生。 向到现场的医生出示此安全技术说明书。
    吸入
    如果吸入,请将患者移到新鲜空气处。 如呼吸停止,进行人工呼吸。 请教医生。
    皮肤接触
    用肥皂和大量的水冲洗。 请教医生。
    眼睛接触
    用大量水彻底冲洗至少15分钟并请教医生。
    食入
    切勿给失去知觉者通过口喂任何东西。 用水漱口。 请教医生。
  4.2 主要症状和影响,急性和迟发效应
    长期或频繁接触会导致:, 血液病, 呕吐, 腹泻, 哮喘
  4.3 及时的医疗处理和所需的特殊处理的说明和指示
    无数据资料

模块 5. 消防措施
  5.1 灭火介质
    灭火方法及灭火剂
    用水雾,抗乙醇泡沫,干粉或二氧化碳灭火。
  5.2 源于此物质或混合物的特别的危害
    碳氧化物, 氮氧化物
  5.3 给消防员的建议
    如必要的话,戴自给式呼吸器去救火。
  5.4 进一步信息
    无数据资料

模块 6. 泄露应急处理
  6.1 作业人员防护措施、防护装备和应急处置程序
    使用个人防护用品。 避免粉尘生成。 避免吸入蒸气、烟雾或气体。 保证充分的通风。
    人员疏散到安全区域。 避免吸入粉尘。
  6.2 环境保护措施
    不要让产品进入下水道。
  6.3 泄漏化学品的收容、清除方法及所使用的处置材料
    收集和处置时不要产生粉尘。 扫掉和铲掉。 放入合适的封闭的容器中待处理。
  6.4 参考其他部分
    丢弃处理请参阅第13节。

模块 7. 操作处置与储存
  7.1 安全操作的注意事项
    避免接触皮肤和眼睛。 避免形成粉尘和气溶胶。
    在有粉尘生成的地方,提供合适的排风设备。
  7.2 安全储存的条件,包括任何不兼容性
    贮存在阴凉处。 使容器保持密闭,储存在干燥通风处。
    对湿度敏感
  7.3 特定用途
    无数据资料

模块 8. 接触控制和个体防护
  8.1 容许浓度
    最高容许浓度
    没有已知的国家规定的暴露极限。
  8.2 暴露控制
    适当的技术控制
    根据良好的工业卫生和安全规范进行操作。 休息前和工作结束时洗手。
    个体防护设备
    眼/面保护
    面罩與安全眼鏡请使用经官方标准如NIOSH (美国) 或 EN 166(欧盟) 检测与批准的设备防护眼部。
    皮肤保护
    戴手套取 手套在使用前必须受检查。
    请使用合适的方法脱除手套(不要接触手套外部表面),避免任何皮肤部位接触此产品.
    使用后请将被污染过的手套根据相关法律法规和有效的实验室规章程序谨慎处理. 请清洗并吹干双手
    所选择的保护手套必须符合EU的89/686/EEC规定和从它衍生出来的EN 376标准。
    完全接触
    物料: 丁腈橡胶
    最小的层厚度 0.11 mm
    溶剂渗透时间: 480 min
    测试过的物质Dermatril® (KCL 740 / Z677272, 规格 M)
    飞溅保护
    物料: 丁腈橡胶
    最小的层厚度 0.11 mm
    溶剂渗透时间: 480 min
    测试过的物质Dermatril® (KCL 740 / Z677272, 规格 M)
,     测试方法 EN374
    如果以溶剂形式应用或与其它物质混合应用,或在不同于EN
    374规定的条件下应用,请与EC批准的手套的供应商联系。
    这个推荐只是建议性的,并且务必让熟悉我们客户计划使用的特定情况的工业卫生学专家评估确认才可.
    这不应该解释为在提供对任何特定使用情况方法的批准.
    身体保护
    全套防化学试剂工作服, 防护设备的类型必须根据特定工作场所中的危险物的浓度和数量来选择。
    呼吸系统防护
    如须暴露于有害环境中,请使用P95型(美国)或P1型(欧盟 英国
    143)防微粒呼吸器。如需更高级别防护,请使用OV/AG/P99型(美国)或ABEK-P2型 (欧盟 英国 143)
    防毒罐。
    呼吸器使用经过测试并通过政府标准如NIOSH(US)或CEN(EU)的呼吸器和零件。

模块 9. 理化特性
  9.1 基本的理化特性的信息
    a) 外观与性状
    形状: 粉末
    颜色: 白色, 灰白色或米色
    b) 气味
    无数据资料
    c) 气味阈值
    无数据资料
    d) pH值
    无数据资料
    e) 熔点/凝固点
    熔点/凝固点: 173 - 175 °C
    f) 沸点、初沸点和沸程
    无数据资料
    g) 闪点
    无数据资料
    h) 蒸发速率
    无数据资料
    i) 易燃性(固体,气体)
    无数据资料
    j) 高的/低的燃烧性或爆炸性限度 无数据资料
    k) 蒸气压
    无数据资料
    l) 蒸汽密度
    无数据资料
    m) 密度/相对密度
    无数据资料
    n) 水溶性
    无数据资料
    o) n-辛醇/水分配系数
    无数据资料
    p) 自燃温度
    无数据资料
    q) 分解温度
    无数据资料
    r) 粘度
    无数据资料

模块 10. 稳定性和反应活性
  10.1 反应性
    无数据资料
  10.2 稳定性
    无数据资料
  10.3 危险反应
    无数据资料
  10.4 应避免的条件
    无数据资料
  10.5 不相容的物质
    强氧化剂
  10.6 危险的分解产物
    其它分解产物 - 无数据资料

模块 11. 毒理学资料
  11.1 毒理学影响的信息
    急性毒性
    半数致死剂量 (LD50) 经口 - 豚鼠 - 1,800 mg/kg
    皮肤刺激或腐蚀
    无数据资料
    眼睛刺激或腐蚀
    无数据资料
    呼吸道或皮肤过敏
    可能引起皮肤过敏性反应。
    可能引起呼吸道过敏反应。
    生殖细胞致突变性
    无数据资料
    致癌性
    IARC:
    此产品中没有大于或等于 0。1%含量的组分被 IARC鉴别为可能的或肯定的人类致癌物。
    生殖毒性
    无数据资料
    特异性靶器官系统毒性(一次接触)
    无数据资料
    特异性靶器官系统毒性(反复接触)
    无数据资料
    吸入危险
    无数据资料
    潜在的健康影响
    吸入        吸入可能有害。 引起呼吸道刺激。    
    摄入        如服入是有害的。    
    皮肤        通过皮肤吸收可能有害。 造成皮肤刺激。    
    眼睛        造成严重眼刺激。    
    接触后的征兆和症状
    长期或频繁接触会导致:, 血液病, 呕吐, 腹泻, 哮喘
    附加说明
    化学物质毒性作用登记: VA6020000

模块 12. 生态学资料
  12.1 生态毒性
    无数据资料
  12.2 持久性和降解性
    无数据资料
  12.3 潜在的生物累积性
    无数据资料
  12.4 土壤中的迁移性
    无数据资料
  12.5 PBT 和 vPvB的结果评价
    无数据资料
  12.6 其它不良影响
    无数据资料

模块 13. 废弃处置
  13.1 废物处理方法
    产品
    将剩余的和不可回收的溶液交给有许可证的公司处理。
    与易燃溶剂相溶或者相混合,在备有燃烧后处理和洗刷作用的化学焚化炉中燃烧
    受污染的容器和包装
    按未用产品处置。

模块 14. 运输信息
  14.1 联合国危险货物编号
    欧洲陆运危规: -        国际海运危规: -        国际空运危规: -    
  14.2 联合国运输名称
    欧洲陆运危规: 非危险货物
    国际海运危规: 非危险货物
    国际空运危规: 非危险货物
  14.3 运输危险类别
    欧洲陆运危规: -        国际海运危规: -        国际空运危规: -    
  14.4 包裹组
    欧洲陆运危规: -        国际海运危规: -        国际空运危规: -    
  14.5 环境危险
    欧洲陆运危规: 否        国际海运危规        国际空运危规: 否    
    海洋污染物(是/否): 否
  14.6 对使用者的特别提醒
    无数据资料


模块 15 - 法规信息
N/A


模块16 - 其他信息
N/A

分子结构与计算化学数据展开↓

分子结构数据


1、  摩尔折射率:95.78

2、  摩尔体积(cm3/mol):266.3

3、  等张比容(90.2K):728.7

4、  表面张力(dyne/cm):56.0

5、  极化率(10-24cm3):37.97

计算化学数据


1、  疏水参数计算参考值(XlogP):2.9

2、  氢键供体数量:1

3、  氢键受体数量:4

4、  可旋转化学键数量:4

5、  互变异构体数量:

6、  拓扑分子极性表面积(TPSA):45.6

7、  重原子数量:24

8、  表面电荷:0

9、  复杂度:457

10、同位素原子数量:0

11、确定原子立构中心数量:4

12、不确定原子立构中心数量:0

13、确定化学键立构中心数量:0

14、不确定化学键立构中心数量:0

15、共价键单元数量:1

上下游相关产品

下游产品

更多
  • 109906-48-1

    Quinine N-Oxide

  • 41037-26-7

    6-甲氧基-4-甲基喹啉水合物

  • 612-11-3

    3,4-二乙吡啶

  • 490-11-9

    3,4-吡啶二羧酸

  • 513-86-0

    3-羟基-2-丁酮

立即下载安装“化学加”APP
专业、功能强大,随时调用更加方便