四异丙基二硫化秋兰姆

四异丙基二硫化秋兰姆 基本信息
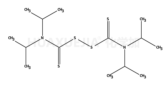
CAS号 4136-91-8 分子式 C14H28N2S4
分子量 352.64600 精确质量  352.11400
PSA  N/A LogP  N/A

合成路线 1

  • 25022-55-3

    di(propan-2-yl)carbamodithioic acid

  • ~96%

  • 4136-91-8

    四异丙基二硫化秋兰姆

  • 75-15-0

    二硫化碳

  • +

  • 108-18-9

    二异丙胺

  • ~96%

  • 4136-91-8

    四异丙基二硫化秋兰姆

  • 88344-46-1

    Methylthio, [bis(1-methylethyl)amino]thioxo-

  • 4136-91-8

    四异丙基二硫化秋兰姆

  • 22296-17-9

    diisopropyldithiocarbamate anion

  • 4136-91-8

    四异丙基二硫化秋兰姆