欢迎来到化学加!萃聚英才,共享化学!化学加,加您更精彩!
首页
注册入驻
网站资讯
化学加_合成化学产业资源聚合服务平台
www.huaxuejia.cn
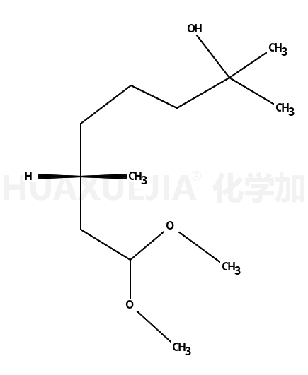
羟基香茅醛二甲缩醛
羟基香茅醛二甲缩醛 基本信息
CAS号
141-92-4
分子式
C12H26O3
分子量
218.33300
精确质量
218.18800
PSA
N/A
LogP
N/A
合成路线
共
1
页
107-75-5
羟基香茅醛
+
34405-39-5
methoxymethanediol
→
141-92-4
羟基香茅醛二甲缩醛
合成路线