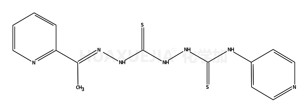
1-pyridin-4-yl-3-[[(E)-1-pyridin-2-ylethylideneamino]carbamothioylamino]thiourea

1-pyridin-4-yl-3-[[(E)-1-pyridin-2-ylethylideneamino]carbamothioylamino]thiourea 基本信息
CAS号 127142-24-9 分子式 C14H15N7S2
分子量 345.44600 精确质量  345.08300
PSA  N/A LogP  N/A

合成路线 1

  • 76105-84-5

    4-异硫代氰酰基吡啶(9ci)

  • +

  • 96699-87-5

    methyl 2-pyridyl ketone thiocarbonohydrazone

  • ~83%

  • 127142-24-9

    1-pyridin-4-yl-3-[[(E)-1-pyridin-2-ylethylideneamino]carbamothioylamino]thiourea

  • 1122-62-9

    2-乙酰基吡啶

  • 127142-24-9

    1-pyridin-4-yl-3-[[(E)-1-pyridin-2-ylethylideneamino]carbamothioylamino]thiourea