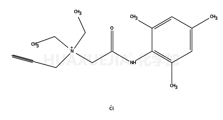
diethyl-[2-oxo-2-(2,4,6-trimethylanilino)ethyl]-prop-2-ynylazanium,chloride

diethyl-[2-oxo-2-(2,4,6-trimethylanilino)ethyl]-prop-2-ynylazanium,chloride 基本信息
CAS号 79143-65-0 分子式 C18H27ClN2O
分子量 322.87300 精确质量  322.18100
PSA  N/A LogP  N/A

合成路线 1

  • 616-68-2

    三甲卡因

  • +

  • 624-65-7

    3-氯丙炔

  • ~92%

  • 79143-65-0

    diethyl-[2-oxo-2-(2,4,6-trimethylanilino)ethyl]-prop-2-ynylazanium,chloride