腺嘌呤黄素

腺嘌呤黄素 基本信息
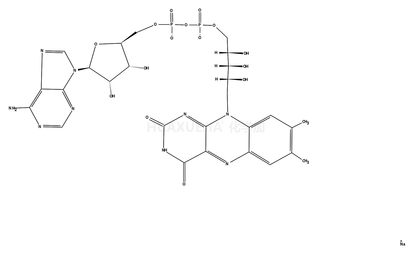
CAS号 146-14-5 分子式 C27H33N9O15P2
分子量 785.55604 精确质量  785.15714
PSA  N/A LogP  N/A

合成路线 1

  • 1910-41-4

    [(2R,3S,4R,5R)-5-(6-aminopurin-9-yl)-3,4-dihydroxyoxolan-2-yl]methyl [[(2R,3S,4S)-5-(7,8-dimethyl-2,4-dioxo-1,5-dihydrobenzo[g]pteridin-10-yl)-2,3,4-trihydroxypentoxy]-hydroxyphosphoryl] hydrogen phosphate

  • 146-14-5

    腺嘌呤黄素

  • 146-17-8

    2,6-蒽二酚

  • +

  • 56-65-5

    5’-三磷酸腺苷

  • 146-14-5

    腺嘌呤黄素

  • 61-19-8

    5'-腺嘌呤核苷酸

  • 146-14-5

    腺嘌呤黄素