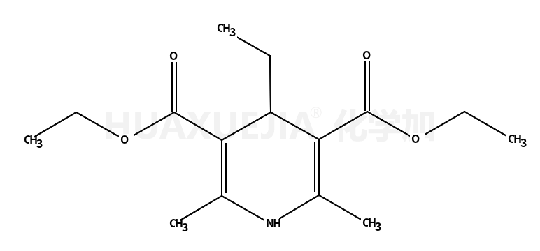
4-乙基-1,4-二氢-2,6-二甲基-3,5-吡啶二羧酸二乙酯

4-乙基-1,4-二氢-2,6-二甲基-3,5-吡啶二羧酸二乙酯 基本信息
CAS号 1153-66-8 分子式 C15H23NO4
分子量 281.34700 精确质量  281.16300
PSA  N/A LogP  N/A

合成路线 1

  • 141-97-9

    乙酰乙酸乙酯

  • +

  • 123-38-6

    丙醛

  • ~92%

  • 1153-66-8

    4-乙基-1,4-二氢-2,6-二甲基-3,5-吡啶二羧酸二乙酯

  • 113700-12-2

    1-(1-chloropropyl)pyridin-1-ium,chloride

  • +

  • 41867-20-3

    ethyl 3-aminocrotonate

  • 1153-66-8

    4-乙基-1,4-二氢-2,6-二甲基-3,5-吡啶二羧酸二乙酯

  • 626-34-6

    3-氨基巴豆酸乙酯

  • +

  • 123-38-6

    丙醛

  • 1153-66-8

    4-乙基-1,4-二氢-2,6-二甲基-3,5-吡啶二羧酸二乙酯