欢迎来到化学加!萃聚英才,共享化学!化学加,加您更精彩!
首页
注册入驻
网站资讯
化学加_合成化学产业资源聚合服务平台
www.huaxuejia.cn
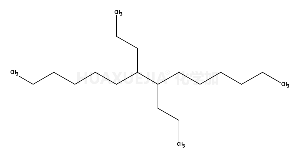
7,8-dipropyltetradecane
7,8-dipropyltetradecane 基本信息
CAS号
102155-34-0
分子式
C20H42
分子量
282.54700
精确质量
282.32900
PSA
N/A
LogP
N/A
合成路线
共
1
页
2051-31-2
4-正癸醇
→
102155-34-0
7,8-dipropyltetradecane
3761-92-0
己基溴化镁
→
102155-34-0
7,8-dipropyltetradecane
102878-40-0
4-bromodecane
→
102155-34-0
7,8-dipropyltetradecane
合成路线