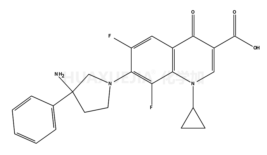
7-(3-amino-3-phenylpyrrolidin-1-yl)-1-cyclopropyl-6,8-difluoro-4-oxoquinoline-3-carboxylic acid

7-(3-amino-3-phenylpyrrolidin-1-yl)-1-cyclopropyl-6,8-difluoro-4-oxoquinoline-3-carboxylic acid 基本信息
CAS号 116169-42-7 分子式 C23H21F2N3O3
分子量 425.42800 精确质量  425.15500
PSA  N/A LogP  N/A

合成路线 1

  • 116169-48-3

    3-phenyl-3-pyrrolidinamine

  • +

  • 94695-52-0

    1-环丙基-6,7,8-三氟-4-氧代-1,4-二氢喹啉-3-羧酸

  • ~82%

  • 116169-42-7

    7-(3-amino-3-phenylpyrrolidin-1-yl)-1-cyclopropyl-6,8-difluoro-4-oxoquinoline-3-carboxylic acid

  • 124562-91-0

    3-phenyl-1-(phenylmethyl)-3-pyrrolidinecarboxylic acid hydrochloride

  • 116169-42-7

    7-(3-amino-3-phenylpyrrolidin-1-yl)-1-cyclopropyl-6,8-difluoro-4-oxoquinoline-3-carboxylic acid

  • 124562-92-1

    124562-92-1

  • 116169-42-7

    7-(3-amino-3-phenylpyrrolidin-1-yl)-1-cyclopropyl-6,8-difluoro-4-oxoquinoline-3-carboxylic acid

  • 124562-89-6

    1-苄基-3-苯基吡咯烷-3-羧酸甲酯

  • 116169-42-7

    7-(3-amino-3-phenylpyrrolidin-1-yl)-1-cyclopropyl-6,8-difluoro-4-oxoquinoline-3-carboxylic acid

  • 124563-09-3

    124563-09-3

  • 116169-42-7

    7-(3-amino-3-phenylpyrrolidin-1-yl)-1-cyclopropyl-6,8-difluoro-4-oxoquinoline-3-carboxylic acid

  • 1865-29-8

    2-苯基丙烯酸甲酯

  • 116169-42-7

    7-(3-amino-3-phenylpyrrolidin-1-yl)-1-cyclopropyl-6,8-difluoro-4-oxoquinoline-3-carboxylic acid

  • 116169-48-3

    3-phenyl-3-pyrrolidinamine

  • +

  • 94695-52-0

    1-环丙基-6,7,8-三氟-4-氧代-1,4-二氢喹啉-3-羧酸

  • +

  • 6674-22-2

    1,8-二氮杂双环[5.4.0]十一碳-7-烯

  • 116169-42-7

    7-(3-amino-3-phenylpyrrolidin-1-yl)-1-cyclopropyl-6,8-difluoro-4-oxoquinoline-3-carboxylic acid