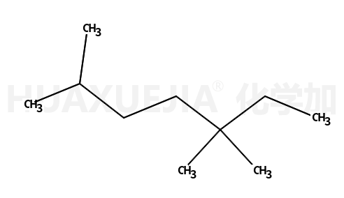
2,5,5-三甲基正庚烷

2,5,5-三甲基正庚烷 基本信息
CAS号 1189-99-7 分子式 C10H22
分子量 142.28200 精确质量  142.17200
PSA  N/A LogP  N/A

合成路线 1

  • 870-63-3

    1-溴-3-甲基-2-丁烯

  • 1189-99-7

    2,5,5-三甲基正庚烷

  • 28276-08-6

    1,1-二甲基丙基氯化镁

  • 1189-99-7

    2,5,5-三甲基正庚烷

  • 35736-90-4

    2,5,5-trimethyl-hept-2-ene

  • 1189-99-7

    2,5,5-三甲基正庚烷

  • 827-90-7

    trans-chrysanthemic acid

  • 1189-99-7

    2,5,5-三甲基正庚烷

  • 2861-25-8

    (+)-trans-Chrysanthemol

  • 1189-99-7

    2,5,5-三甲基正庚烷

  • 18383-70-5

    18383-70-5

  • 1189-99-7

    2,5,5-三甲基正庚烷