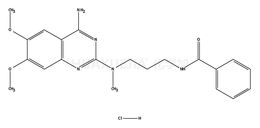
N-[3-[(4-amino-6,7-dimethoxyquinazolin-2-yl)-methylamino]propyl]benzamide,hydrochloride

N-[3-[(4-amino-6,7-dimethoxyquinazolin-2-yl)-methylamino]propyl]benzamide,hydrochloride 基本信息
CAS号 65189-49-3 分子式 C21H26ClN5O3
分子量 431.91600 精确质量  431.17200
PSA  N/A LogP  N/A

合成路线 1

  • 98902-17-1

    98902-17-1

  • +

  • 23680-84-4

    4-氨基-2-氯-6,7-二甲氧基喹唑啉

  • ~67%

  • 65189-49-3

    N-[3-[(4-amino-6,7-dimethoxyquinazolin-2-yl)-methylamino]propyl]benzamide,hydrochloride

  • 98-88-4

    苯甲酰氯

  • 65189-49-3

    N-[3-[(4-amino-6,7-dimethoxyquinazolin-2-yl)-methylamino]propyl]benzamide,hydrochloride

  • 23873-66-7

    N-(2-cyanoethyl)-N-methylbenzamide

  • 65189-49-3

    N-[3-[(4-amino-6,7-dimethoxyquinazolin-2-yl)-methylamino]propyl]benzamide,hydrochloride