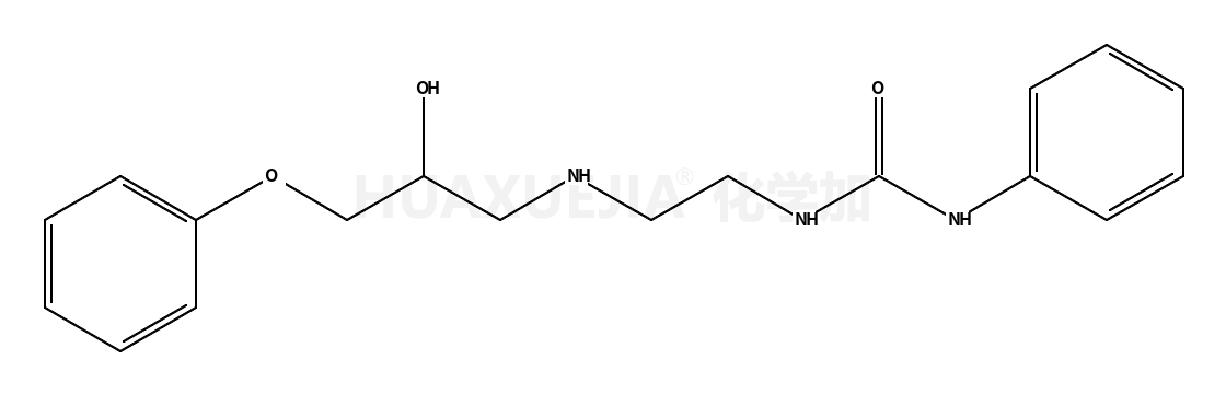
1-[2-[(2-hydroxy-3-phenoxypropyl)amino]ethyl]-3-phenylurea

1-[2-[(2-hydroxy-3-phenoxypropyl)amino]ethyl]-3-phenylurea 基本信息
CAS号 83019-67-4 分子式 C18H23N3O3
分子量 329.39400 精确质量  329.17400
PSA  N/A LogP  N/A

合成路线 1

  • 122-60-1

    苯基缩水甘油醚

  • +

  • 85850-48-2

    Urea, N-(2-aminoethyl)-N'-phenyl-, monohydrochloride

  • ~30%

  • 83019-67-4

    1-[2-[(2-hydroxy-3-phenoxypropyl)amino]ethyl]-3-phenylurea

  • 122-60-1

    苯基缩水甘油醚

  • +

  • 53673-01-1

    1-(2-aminoethyl)-3-phenylurea

  • ~17%

  • 83019-67-4

    1-[2-[(2-hydroxy-3-phenoxypropyl)amino]ethyl]-3-phenylurea

  • 108-95-2

    苯酚

  • 83019-67-4

    1-[2-[(2-hydroxy-3-phenoxypropyl)amino]ethyl]-3-phenylurea

  • 215654-49-2

    tert-butyl (2-(3-phenylureido)ethyl)carbamate

  • 83019-67-4

    1-[2-[(2-hydroxy-3-phenoxypropyl)amino]ethyl]-3-phenylurea