欢迎来到化学加!萃聚英才,共享化学!化学加,加您更精彩!
首页
注册入驻
网站资讯
化学加_合成化学产业资源聚合服务平台
www.huaxuejia.cn
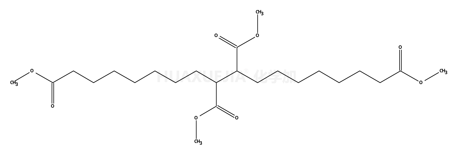
tetramethyl hexadecane-1,8,9,16-tetracarboxylate
tetramethyl hexadecane-1,8,9,16-tetracarboxylate 基本信息
CAS号
144190-29-4
分子式
C24H42O8
分子量
458.58500
精确质量
458.28800
PSA
N/A
LogP
N/A
合成路线
共
1
页
106-79-6
癸二酸二甲酯
→
144190-29-4
tetramethyl hexadecane-1,8,9,16-tetracarboxylate
合成路线