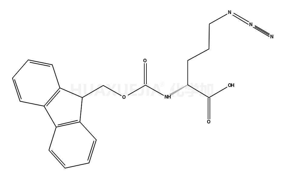
(S)-5-叠氮-2-(芴甲氧羰基-氨基)戊酸

(S)-5-叠氮-2-(芴甲氧羰基-氨基)戊酸 基本信息
CAS号 1097192-04-5 分子式 C20H20N4O4
分子量 380.39700 精确质量  380.14800
PSA  N/A LogP  N/A

合成路线 1

  • 158599-00-9

    158599-00-9

  • ~87%

  • 1097192-04-5

    (S)-5-叠氮-2-(芴甲氧羰基-氨基)戊酸

  • 82911-69-1

    9-芴甲基-N-琥珀酰亚胺基碳酸酯

  • +

  • 156463-09-1

    [(4S)-4-amino-4-carboxybutyl]-diazonioazanide

  • 1097192-04-5

    (S)-5-叠氮-2-(芴甲氧羰基-氨基)戊酸