欢迎来到化学加!萃聚英才,共享化学!化学加,加您更精彩!
首页
注册入驻
网站资讯
化学加_合成化学产业资源聚合服务平台
www.huaxuejia.cn
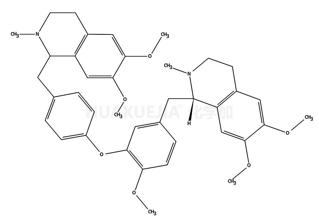
O-甲基蝙蝠葛碱
O-甲基蝙蝠葛碱 基本信息
CAS号
2202-17-7
分子式
C39H46N2O6
分子量
638.79200
精确质量
638.33600
PSA
N/A
LogP
N/A
合成路线
共
1
页
186581-53-3
重氮甲烷
→
2202-17-7
O-甲基蝙蝠葛碱
合成路线