苯甲酸3-甲基2-丁烯酯

苯甲酸3-甲基2-丁烯酯 基本信息
CAS号 5205-11-8 分子式 C12H14O2
分子量 190.23800 精确质量  190.09900
PSA  26.30000 LogP  2.80960

基本信息 展开↓

CAS号:
5205-11-8
3D弹球模型:
立即前往扯扯看
分子式:
C12H14O2
分子量:
190.23800
中文名称:
苯甲酸3-甲基2-丁烯酯
英文名称:
3-Methyl-2-butenyl Benzoate
中文别名:
苯甲酸3-甲基2-丁烯酯;
苯甲酸3-甲基-2-丁烯酯;
3-甲基-2-丁烯苯甲酸酯;
3-甲基-2-丁烯-1-醇苯甲酸酯
英文别名:
3-Methyl-2-butenyl Benzoate;
Benzoic Acid Prenyl Ester;
Benzoic Acid 3-Methyl-2-butenyl Ester;
Prenyl Benzoate;
3-methylbut-2-enyl benzoate
精确分子量/精确质量:
190.09900
极性分子表面积/PSA:
26.30000
油水分配系数/LogP:

LogP值指的是某物质在正辛醇/水两相体系中的分配系数的对数值,反映了物质在油水两相中的分配情况。其中、LogP值越大,说明该物质越亲油;反之,LogP值越小,则说明该物质越亲水。
EINECS:
225-998-7
InChI:
The Key: INVWRXWYYVMFQC-UHFFFAOYSA-N

物化性质展开↓

密度:
1.018g/cm3
沸点:
280.1ºC at 760mmHg
闪点:
125.1ºC
折射率:
1.516
存储条件/存储方法:

 避光,阴凉干燥处,密封保存

稳定性相关:

常温常压下稳定

其它信息:

1.      性状:未确定

2.      密度(g/mL,25/4):1.03

3.      相对蒸汽密度(g/mL,空气=1):未确定

4.      熔点(ºC):未确定

5.      沸点(ºC,常压):107

6.      沸点(ºC,5.2kPa):未确定

7.      折射率:未确定

8.      闪点(ºC):134

9.      比旋光度(º):未确定

10.   自燃点或引燃温度(ºC):未确定

11.   蒸气压(kPa,25ºC):未确定

12.   饱和蒸气压(kPa,60ºC):未确定

13.   燃烧热(KJ/mol):未确定

14.   临界温度(ºC):未确定

15.   临界压力(KPa):未确定

16.   油水(辛醇/水)分配系数的对数值:未确定

17.   爆炸上限(%,V/V):未确定

18.   爆炸下限(%,V/V):未确定

19.   溶解性:未确定

 

安全信息展开↓

海关代码:
2916310090
RTECS号:
EM9473900

合成路线查看所有的合成路线

  • 93-97-0

    苯甲酸酐

  • +

  • 556-82-1

    异戊烯醇

  • ~83%

  • 5205-11-8

    苯甲酸3-甲基2-丁烯酯

  • 98-88-4

    苯甲酰氯

  • +

  • 556-82-1

    异戊烯醇

  • ~10%

  • 5205-11-8

    苯甲酸3-甲基2-丁烯酯

  • 16722-09-1

    三甲基硅烷基环氧乙烷

  • +

  • 4238-09-9

    propan-2-ylsulfonylbenzene

  • 5205-11-8

    苯甲酸3-甲基2-丁烯酯

  • +

  • 133827-97-1

    3-benzenesulfonyl-3-methyl-1-trimethylsilyl-butan-1-ol benzoate

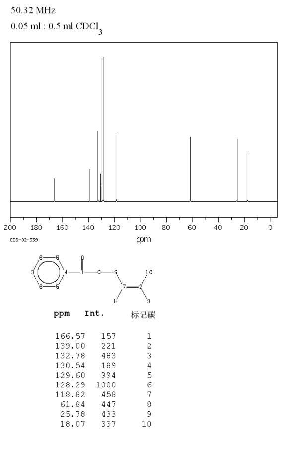
化学图谱

  1. 苯甲酸3-甲基2-丁烯酯质谱(MS)

  2. 苯甲酸3-甲基2-丁烯酯红外图谱(IR1)

  3. 苯甲酸3-甲基2-丁烯酯核磁图(13CNMR)

  4. 苯甲酸3-甲基2-丁烯酯核磁图(1HNMR)

上一页 1/4 下一页

毒理性展开↓

CHEMICAL IDENTIFICATION

RTECS NUMBER :
EM9473900
CHEMICAL NAME :
2-Buten-1-ol, 3-methyl-, benzoate
CAS REGISTRY NUMBER :
5205-11-8
LAST UPDATED :
199701
DATA ITEMS CITED :
4
MOLECULAR FORMULA :
C12-H14-O2
MOLECULAR WEIGHT :
190.26

HEALTH HAZARD DATA

ACUTE TOXICITY DATA

TYPE OF TEST :
Standard Draize test
ROUTE OF EXPOSURE :
Administration onto the skin
SPECIES OBSERVED :
Rodent - rabbit
REFERENCE :
FCTOD7 Food and Chemical Toxicology. (Pergamon Press Inc., Maxwell House, Fairview Park, Elmsford, NY 10523) V.20- 1982- Volume(issue)/page/year: 20,819,1982 ** ACUTE TOXICITY DATA **
TYPE OF TEST :
LD50 - Lethal dose, 50 percent kill
ROUTE OF EXPOSURE :
Oral
SPECIES OBSERVED :
Rodent - rat
DOSE/DURATION :
4700 mg/kg
TOXIC EFFECTS :
Details of toxic effects not reported other than lethal dose value
REFERENCE :
FCTOD7 Food and Chemical Toxicology. (Pergamon Press Inc., Maxwell House, Fairview Park, Elmsford, NY 10523) V.20- 1982- Volume(issue)/page/year: 20,819,1982
TYPE OF TEST :
LD50 - Lethal dose, 50 percent kill
ROUTE OF EXPOSURE :
Administration onto the skin
SPECIES OBSERVED :
Rodent - rabbit
DOSE/DURATION :
>5 gm/kg
TOXIC EFFECTS :
Details of toxic effects not reported other than lethal dose value
REFERENCE :
FCTOD7 Food and Chemical Toxicology. (Pergamon Press Inc., Maxwell House, Fairview Park, Elmsford, NY 10523) V.20- 1982- Volume(issue)/page/year: 20,819,1982
毒理学数据:

1、   皮肤眼睛刺激数据:

小鼠皮肤500mg/24H反应条件:温和

2、   急性毒性数据:

小鼠口服LD504700mg/kg,毒性作用的描述没有报告除此以外的其他致死剂量值。

小鼠皮肤LD50:大于5gm/kg,毒性作用的描述没有报告除此以外的其他致死剂量值。

生态数据:

该物质对环境可能有危害,对水体应给予特别注意

MSDS 展开↓

  苯甲酸3-甲基-2-丁烯酯      修改号码:5    

模块 1. 化学品
    产品名称:      3-Methyl-2-butenyl Benzoate    
    修改号码:      5    

模块 2. 危险性概述
  GHS分类
     物理性危害        未分类    
     健康危害
    急性毒性(经口)      第5级    
  皮肤腐蚀/刺激      第3级    
     环境危害        未分类    
  GHS标签元素
     图标或危害标志        无    
     信号词        警告    
     危险描述        吞咽可能有害。    
    造成轻微皮肤刺激
     防范说明
  [急救措施]      若皮肤刺激:求医/就诊。    
  若感不适:呼叫解毒中心/医生。

模块 3. 成分/组成信息
  单一物质/混和物        单一物质    
  化学名(中文名):      苯甲酸3-甲基-2-丁烯酯    
    百分比:      >98.0%(GC)    
  CAS编码:      5205-11-8    
    俗名:      Benzoic Acid 3-Methyl-2-butenyl Ester , Benzoic Acid Prenyl Ester , Prenyl    
  Benzoate
    分子式:      C12H14O2    

模块 4. 急救措施
    吸入:      将受害者移到新鲜空气处,保持呼吸通畅,休息。若感不适立即呼叫解毒中心/医生。    
    皮肤接触:      立即去除/脱掉所有被污染的衣物。用大量肥皂和水轻轻洗。    
  若皮肤刺激或发生皮疹:求医/就诊。
    眼睛接触:        用水小心清洗几分钟。如果方便,易操作,摘除隐形眼镜。继续清洗。    
  如果眼睛刺激:求医/就诊。
    食入:      若感不适,呼叫解毒中心/医生。漱口。    
  苯甲酸3-甲基-2-丁烯酯      修改号码:5    
    紧急救助者的防护:        救援者需要穿戴个人防护用品,比如橡胶手套和气密性护目镜。    

模块 5. 消防措施
    合适的灭火剂:        干粉,泡沫,雾状水,二氧化碳    
    不适用的灭火剂:        棒状水    
    特定方法:        从上风处灭火,根据周围环境选择合适的灭火方法。    
    非相关人员应该撤离至安全地方。
    周围一旦着火:如果安全,移去可移动容器。
    消防员的特殊防护用具:        灭火时,一定要穿戴个人防护用品。    

模块 6. 泄漏应急处理
    个人防护措施,防护用具,      使用个人防护用品。远离溢出物/泄露处并处在上风处。确保足够通风。    
    紧急措施:        泄露区应该用安全带等圈起来,控制非相关人员进入。    
    环保措施:        防止进入下水道。    
    控制和清洗的方法和材料:        用合适的吸收剂(如:旧布,干砂,土,锯屑)吸收泄漏物。一旦大量泄漏,筑堤控    
    制。附着物或收集物应该立即根据合适的法律法规废弃处置。

模块 7. 操作处置与储存
    处理
    技术措施:        在通风良好处进行处理。穿戴合适的防护用具。防止烟雾产生。处理后彻底清洗双手    
    和脸。
    注意事项:        如果蒸气或浮质产生,使用通风、局部排气。    
    操作处置注意事项:        避免接触皮肤、眼睛和衣物。    
    贮存
    储存条件:        保持容器密闭。存放于凉爽、阴暗处。    
    远离不相容的材料比如氧化剂存放。
    包装材料:        依据法律。    

模块 8. 接触控制和个体防护
    工程控制:        尽可能安装封闭体系或局部排风系统,操作人员切勿直接接触。同时安装淋浴器和洗    
    眼器。
    个人防护用品
     呼吸系统防护:        防毒面具。依据当地和政府法规。    
     手部防护:        防护手套。    
     眼睛防护:        安全防护镜。如果情况需要,佩戴面具。    
     皮肤和身体防护:        防护服。如果情况需要,穿戴防护靴。    

模块 9. 理化特性
    液体
  外形(20°C):
    外观:        透明    
    颜色:      无色-黄色    
    气味:        无资料    
  pH:        无数据资料    
    熔点:        无资料    
  沸点/沸程      107 °C/0.3kPa    
    闪点:      134°C    
    爆炸特性
     爆炸下限:        无资料    
     爆炸上限:        无资料    
    密度:      1.03    
  苯甲酸3-甲基-2-丁烯酯      修改号码:5    

模块 9. 理化特性
    溶解度:
  [水]        无资料    
  [其他溶剂]        无资料    

模块 10. 稳定性和反应性
    化学稳定性:        一般情况下稳定。    
    危险反应的可能性:        未报道特殊反应性。    
    须避免接触的物质        氧化剂    
  危险的分解产物:      一氧化碳, 二氧化碳    

模块 11. 毒理学信息
    急性毒性:      orl-rat LD50:4700 mg/kg    
  skn-rbt LD50:>5 g/kg
    对皮肤腐蚀或刺激:      skn-rbt 500 mg/24H MLD    
    对眼睛严重损害或刺激:        无资料    
    生殖细胞变异原性:        无资料    
    致癌性:
  IARC =        无资料    
  NTP =        无资料    
    生殖毒性:        无资料    
  RTECS 号码:      EM9473900    

模块 12. 生态学信息
    生态毒性:
    鱼类:        无资料    
    甲壳类:        无资料    
    藻类:        无资料    
  残留性 / 降解性:        无资料    
  潜在生物累积 (BCF):        无资料    
    土壤中移动性
   log水分配系数:        无资料    
   土壤吸收系数 (Koc):        无资料    
     亨利定律        无资料    
  constant(PaM3/mol):

模块 13. 废弃处置
    如果可能,回收处理。请咨询当地管理部门。建议在装有后燃和洗涤装置的化学焚烧炉中焚烧。废弃处置时请遵守
    国家、地区和当地的所有法规。

模块 14. 运输信息
    联合国分类:        与联合国分类标准不一致    
  UN编号:        未列明    

模块 15. 法规信息
  《危险化学品安全管理条例》(2002年1月26日国务院发布,2011年2月16日修订): 针对危险化学品的安全使用、
    生产、储存、运输、装卸等方面均作了相应的规定。
  苯甲酸3-甲基-2-丁烯酯      修改号码:5    


模块16 - 其他信息
N/A

海关数据查看详细

中国海关编码:2916310090

概述:
2916310090 其他苯甲酸及其盐和酯. 增值税率:17.0% 退税率:9.0% 监管条件:AB(入境货物通关单,出境货物通关单) 最惠国关税:6.5% 普通关税:30.0%
申报要素:
品名, 成分含量, 用途, 丙烯酸、丙烯酸盐或酯应报明包装
监管条件:
A.入境货物通关单B.出境货物通关单
检验检疫:
R.进口食品卫生监督检验S.出口食品卫生监督检验M.进口商品检验N.出口商品检验
摘要/Summary:
2916310090 other benzoic acid and its salts and esters。supervision conditions:AB(certificate of inspection for goods inward,certificate of inspection for goods outward)。VAT:17.0%。tax rebate rate:9.0%。MFN tariff:6.5%。general tariff:30.0%

分子结构与计算化学数据展开↓

分子结构数据


分子性质数据:

1、   摩尔折射率:56.45

2、   摩尔体积(m3/mol):186.7

3、   等张比容(90.2K):454.6

4、   表面张力(dyne/cm):35.1

5、   极化率10-24cm3):22.38

计算化学数据


1、   疏水参数计算参考值(XlogP):3.2

2、   氢键供体数量:0

3、   氢键受体数量:2

4、   可旋转化学键数量:4

5、   互变异构体数量:

6、   拓扑分子极性表面积(TPSA):26.3

7、   重原子数量:14

8、   表面电荷:0

9、   复杂度:208

10、   同位素原子数量:0

11、   确定原子立构中心数量:0

12、   不确定原子立构中心数量:0

13、   确定化学键立构中心数量:0

14、   不确定化学键立构中心数量:0

15、   共价键单元数量:1

上下游相关产品

上游产品

更多
  • 98-88-4

    苯甲酰氯

  • 556-82-1

    异戊烯醇

  • 93-97-0

    苯甲酸酐

  • 346425-56-7

    4-benzoyloxymethyl-2,2-dichloro-3,3-dimethylcyclobutanone

  • 4747-15-3

    Β-苯乙烯甲醚

下游产品

更多
  • 64904-47-8

    苯甲酰氧基乙醛缩二乙醇

  • 62894-01-3

    benzoic acid,(3,3-dimethyloxiran-2-yl)methanol

  • 63972-14-5

    dimethyl-(3-methylbut-2-enyl)-phenylsilane

  • 65-85-0

    苯甲酸

立即下载安装“化学加”APP
专业、功能强大,随时调用更加方便