欢迎来到化学加!萃聚英才,共享化学!化学加,加您更精彩!
首页
注册入驻
网站资讯
化学加_合成化学产业资源聚合服务平台
www.huaxuejia.cn
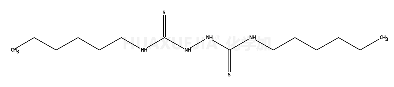
1-hexyl-3-(hexylcarbamothioylamino)thiourea
1-hexyl-3-(hexylcarbamothioylamino)thiourea 基本信息
CAS号
2209-30-5
分子式
C14H30N4S2
分子量
318.54500
精确质量
318.19100
PSA
N/A
LogP
N/A
合成路线
共
1
页
4404-45-9
异硫氰酸己酯
+
53347-40-3
4-己基-3-氨基硫脲
→
2209-30-5
1-hexyl-3-(hexylcarbamothioylamino)thiourea
4404-45-9
异硫氰酸己酯
→
2209-30-5
1-hexyl-3-(hexylcarbamothioylamino)thiourea
合成路线