富马酸扎莫特罗

富马酸扎莫特罗 基本信息
CAS号 73210-73-8 分子式 C16H25N3O5
分子量 339.38700 精确质量  339.17900
PSA  103.29000 LogP  0.48300

基本信息 展开↓

CAS号:
73210-73-8
分子式:
C16H25N3O5
分子量:
339.38700
中文名称:
富马酸扎莫特罗
英文名称:
(+/-)-N-[2-[[HYDROXY-3-(4-HYDROXY)PROPYL]AMINO]ETHYL-4-MORPHOLINECARBOXAMIDE HEMIFUMARATE SALT
中文别名:
富马酸扎莫特罗;
1-(对羟苯氧基)-3-[2-(吗啉酰胺基)乙氨基]-2-丙醇半富马酸盐
英文别名:
(+/-)-N-[2-[[HYDROXY-3-(4-HYDROXY)PROPYL]AMINO]ETHYL-4-MORPHOLINECARBOXAMIDE HEMIFUMARATE SALT;
Carwin;
Corwin;
1-(4-HYDROXYPHENOXY)-3-[2-(4-MORPHOLINOCARBOXAMIDO)ETHYLAMINO]-2-PROPANOL HEMIFUMARATE;
XAMOTEROL HEMIFUMARATE;
XAMOTEROL HEMIFUMARATE SALT
精确分子量/精确质量:
339.17900
极性分子表面积/PSA:
103.29000
油水分配系数/LogP:

LogP值指的是某物质在正辛醇/水两相体系中的分配系数的对数值,反映了物质在油水两相中的分配情况。其中、LogP值越大,说明该物质越亲油;反之,LogP值越小,则说明该物质越亲水。
EINECS:
277-319-9

生产制备方法及用途展开↓

制备方法


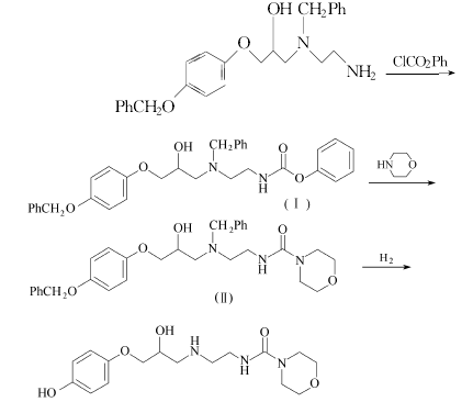
3-[N-(2-氨乙基)-N-苄基氨基]-1-(4-苄氧基苯氧基)-2-丙醇,在50℃下用氯甲酸苯酯进行酰化,得到化合物(I)。然后在100℃和吗啉反应,得(Ⅱ)。再氢解得扎莫特罗。

合成制备方法


3-[N-(2-氨乙基)-N-苄基氨基]-1-(4-苄氧基苯氧基)-2-丙醇,在50℃下用氯甲酸苯酯进行酰化,得到化合物(I)。然后在100℃和吗啉反应,得(Ⅱ)。再氢解得扎莫特罗。

用途简介


有选择性心脏兴奋作用,而对血管平滑肌无直接作用。用于慢性心力衰竭,尤其适用于因气喘、疲劳等症状使活动受到限制的心衰者。

用途


有选择性心脏兴奋作用,而对血管平滑肌无直接作用。用于慢性心力衰竭,尤其适用于因气喘、疲劳等症状使活动受到限制的心衰者。

物化性质展开↓

外观与性状:
白色固体
熔点:
168-169ºC (dec)
沸点:
651.4ºC at 760 mmHg
闪点:
347.7ºC
其它信息:

1.性状:在乙醇中结晶。

2.熔点(℃):168--169。

安全信息展开↓

安全说明:
22-24/25

分子结构与计算化学数据展开↓

分子结构数据


1、  摩尔折射率:88.16

2、  摩尔体积(cm3/mol):268.1

3、  等张比容(90.2K):733.7

4、  表面张力(dyne/cm):56.0

5、  极化率(10-24cm3):34.95

立即下载安装“化学加”APP
专业、功能强大,随时调用更加方便