欢迎来到化学加!萃聚英才,共享化学!化学加,加您更精彩!
首页
注册入驻
网站资讯
化学加_合成化学产业资源聚合服务平台
www.huaxuejia.cn
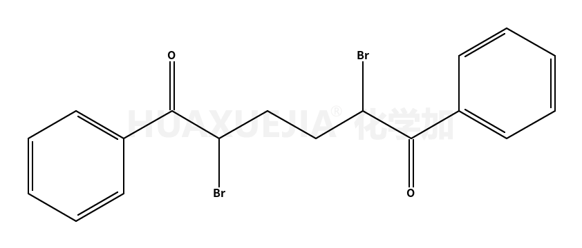
1,4-二苯甲酰基-1,4-二溴丁烷
1,4-二苯甲酰基-1,4-二溴丁烷 基本信息
CAS号
71225-00-8
分子式
C18H16Br2O2
分子量
424.12600
精确质量
421.95200
PSA
N/A
LogP
N/A
合成路线
共
1
页
67-66-3
氯仿
+
3375-38-0
1,4-二苯甲酰丁烷
+
7726-95-6
溴素
→
71225-00-8
1,4-二苯甲酰基-1,4-二溴丁烷
3375-38-0
1,4-二苯甲酰丁烷
→
71225-00-8
1,4-二苯甲酰基-1,4-二溴丁烷
合成路线