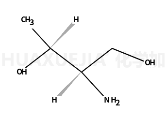
L-苏氨醇

L-苏氨醇 基本信息
CAS号 3228-51-1 分子式 C4H11NO2
分子量 105.13600 精确质量  105.07900
PSA  N/A LogP  N/A

合成路线 1

  • 72-19-5

    L-苏氨酸

  • ~83%

  • 3228-51-1

    L-苏氨醇

  • 161150-55-6

    benzyl ((2R,3R)-1,3-dihydroxybutan-2-yl)carbamate

  • 3228-51-1

    L-苏氨醇

  • 3373-59-9

    L-苏氨酸甲酯

  • 3228-51-1

    L-苏氨醇