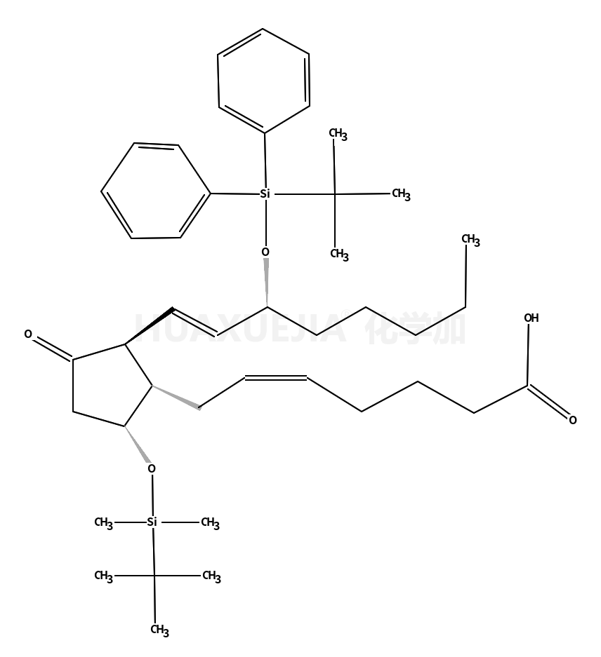
(5Z,13E)-9α-[(tert-butyldimethylsilyl)oxy]-11-oxo-15-[(tert-butyldiphenylsilyl)oxy]prosta-5,13-dienoic acid

(5Z,13E)-9α-[(tert-butyldimethylsilyl)oxy]-11-oxo-15-[(tert-butyldiphenylsilyl)oxy]prosta-5,13-dienoic acid 基本信息
CAS号 101249-10-9 分子式 C42H64O5Si2
分子量 705.12600 精确质量  704.42900
PSA  N/A LogP  N/A

合成路线 1

  • 101249-08-5

    methyl (5Z,13E)-9α-[(tert-butyldimethylsilyl)oxy]-11α-hydroxy-15-[(tert-butyldiphenylsilyl)oxy]prosta-5,13-dienoate

  • 101249-10-9

    (5Z,13E)-9α-[(tert-butyldimethylsilyl)oxy]-11-oxo-15-[(tert-butyldiphenylsilyl)oxy]prosta-5,13-dienoic acid