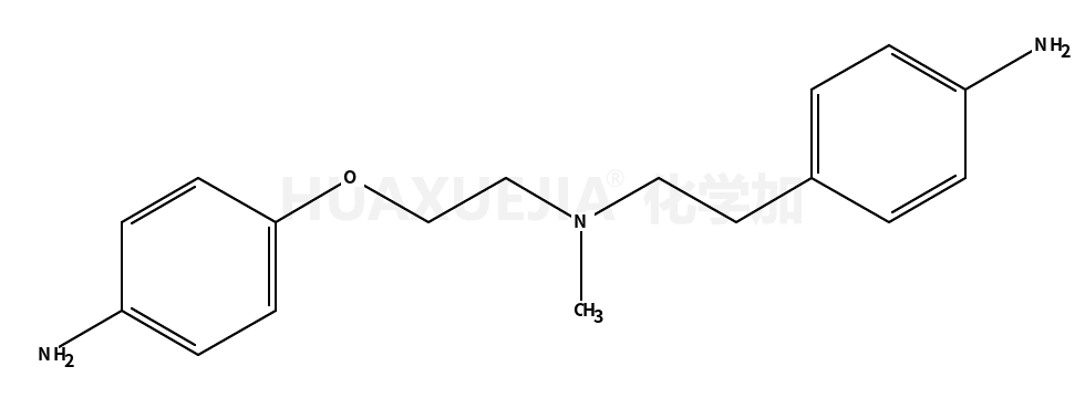
N-甲基-N-(4-氨基苯氧乙基)-4-氨基苯乙胺

N-甲基-N-(4-氨基苯氧乙基)-4-氨基苯乙胺 基本信息
CAS号 115256-13-8 分子式 C17H23N3O
分子量 285.38400 精确质量  285.18400
PSA  N/A LogP  N/A

合成路线 1

  • 115287-37-1

    N-甲基-N-(4-硝基苯氧乙基)-4-硝基苯乙胺

  • ~69%

  • 115256-13-8

    N-甲基-N-(4-氨基苯氧乙基)-4-氨基苯乙胺

  • 85176-37-0

    N-甲基-[2-(4-硝基-苯基)-乙基]-胺

  • 115256-13-8

    N-甲基-N-(4-氨基苯氧乙基)-4-氨基苯乙胺

  • 3383-72-0

    2-氯乙基 4-硝基苯基醚

  • 115256-13-8

    N-甲基-N-(4-氨基苯氧乙基)-4-氨基苯乙胺