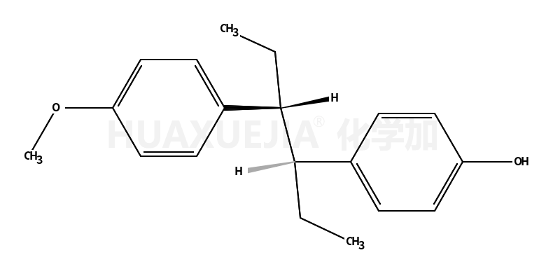
Phenol, 4-[1-ethyl-2-(4-methoxyphenyl)butyl]-, (R*,S*)

Phenol, 4-[1-ethyl-2-(4-methoxyphenyl)butyl]-, (R*,S*) 基本信息
CAS号 13026-26-1 分子式 C19H24O2
分子量 284.39300 精确质量  284.17800
PSA  N/A LogP  N/A

合成路线 1

  • 84-16-2

    己烷雌酚

  • +

  • 77-78-1

    硫酸二甲酯

  • ~72%

  • 13026-26-1

    Phenol, 4-[1-ethyl-2-(4-methoxyphenyl)butyl]-, (R*,S*)

  • 84-16-2

    己烷雌酚

  • +

  • 74-88-4

    甲基碘

  • 13026-26-1

    Phenol, 4-[1-ethyl-2-(4-methoxyphenyl)butyl]-, (R*,S*)

  • 130-78-9

    4,4'-(1,2-二乙基乙烯)二(苯甲醚)

  • 13026-26-1

    Phenol, 4-[1-ethyl-2-(4-methoxyphenyl)butyl]-, (R*,S*)

  • 70-70-2

    4-羟基苯丙酮

  • 13026-26-1

    Phenol, 4-[1-ethyl-2-(4-methoxyphenyl)butyl]-, (R*,S*)

  • 84234-15-1

    bis-[1-(4-hydroxy-phenyl)-propylidene]-hydrazine

  • 13026-26-1

    Phenol, 4-[1-ethyl-2-(4-methoxyphenyl)butyl]-, (R*,S*)

  • 28231-25-6

    28231-25-6

  • 13026-26-1

    Phenol, 4-[1-ethyl-2-(4-methoxyphenyl)butyl]-, (R*,S*)