2-hydroxy-2,3,3-trimethylbutanoic acid

2-hydroxy-2,3,3-trimethylbutanoic acid 基本信息
CAS号 4026-21-5 分子式 C7H14O3
分子量 146.18400 精确质量  146.09400
PSA  N/A LogP  N/A

合成路线 1

  • 676-58-4

    甲基氯化镁

  • +

  • 815-17-8

    三甲基丙酮酸

  • ~89%

  • 4026-21-5

    2-hydroxy-2,3,3-trimethylbutanoic acid

  • 52329-73-4

    52329-73-4

  • ~83%

  • 4026-21-5

    2-hydroxy-2,3,3-trimethylbutanoic acid

  • 999-78-0

    4,4-二甲基-2-戊炔

  • ~9%

  • 15120-99-7

    1-(2,3,3-trimethyloxiran-2-yl)ethanone

  • +

  • 128075-71-8

    2,2-dimethyl-1-(oxiran-2-yl)propan-1-one

  • +

  • 4026-21-5

    2-hydroxy-2,3,3-trimethylbutanoic acid

  • +

  • 872-75-3

    1-(2,2-dimethylcyclopropyl)ethanone

  • 999-78-0

    4,4-二甲基-2-戊炔

  • ~9%

  • 15120-99-7

    1-(2,3,3-trimethyloxiran-2-yl)ethanone

  • +

  • 2177-30-2

    4,4-二甲基-1-戊烯-3-酮

  • +

  • 4026-21-5

    2-hydroxy-2,3,3-trimethylbutanoic acid

  • +

  • 872-75-3

    1-(2,2-dimethylcyclopropyl)ethanone

  • 999-78-0

    4,4-二甲基-2-戊炔

  • ~8%

  • 15120-99-7

    1-(2,3,3-trimethyloxiran-2-yl)ethanone

  • +

  • 128075-71-8

    2,2-dimethyl-1-(oxiran-2-yl)propan-1-one

  • +

  • 2177-30-2

    4,4-二甲基-1-戊烯-3-酮

  • +

  • 684-94-6

    3,4-dimethylpent-3-en-2-one

  • +

  • 4026-21-5

    2-hydroxy-2,3,3-trimethylbutanoic acid

  • +

  • 872-75-3

    1-(2,2-dimethylcyclopropyl)ethanone

  • 999-78-0

    4,4-二甲基-2-戊炔

  • ~8%

  • 15120-99-7

    1-(2,3,3-trimethyloxiran-2-yl)ethanone

  • +

  • 684-94-6

    3,4-dimethylpent-3-en-2-one

  • +

  • 4026-21-5

    2-hydroxy-2,3,3-trimethylbutanoic acid

  • +

  • 872-75-3

    1-(2,2-dimethylcyclopropyl)ethanone

  • 52329-73-4

    52329-73-4

  • 4026-21-5

    2-hydroxy-2,3,3-trimethylbutanoic acid

  • +

  • 75-98-9

    三甲基乙酸

  • 860547-77-9

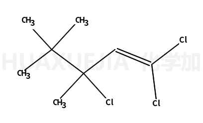
    1,1,3-trichloro-3,4,4-trimethyl-pent-1-ene

  • +

  • 10028-15-6

    臭氧

  • 4026-21-5

    2-hydroxy-2,3,3-trimethylbutanoic acid

  • 31820-01-6

    1-chloro-3,4,4-trimethyl-pent-1-yn-3-ol

  • 4026-21-5

    2-hydroxy-2,3,3-trimethylbutanoic acid

  • 67-66-3

    氯仿

  • +

  • 860549-30-0

    1,3-dichloro-3,4,4-trimethyl-pent-1-yne

  • +

  • 10028-15-6

    臭氧

  • 4026-21-5

    2-hydroxy-2,3,3-trimethylbutanoic acid

  • 38484-41-2

    (3S)-3,4,4-trimethylpent-1-yn-3-ol

  • 4026-21-5

    2-hydroxy-2,3,3-trimethylbutanoic acid

  • 4131-69-5

    Butanenitrile, 2-hydroxy-2,3,3-trimethyl-

  • 4026-21-5

    2-hydroxy-2,3,3-trimethylbutanoic acid

  • 136347-17-6

    2-hydroxy-2,3,3-trimethyl-butyric acid amide

  • 4026-21-5

    2-hydroxy-2,3,3-trimethylbutanoic acid

  • 116199-31-6

    116199-31-6

  • 4026-21-5

    2-hydroxy-2,3,3-trimethylbutanoic acid

  • 6196-59-4

    3-hydroxy-3,4,4-trimethyl-pentan-2-one

  • 4026-21-5

    2-hydroxy-2,3,3-trimethylbutanoic acid

  • 38941-46-7

    3,3-二甲基-2-氧代丁酸甲酯

  • 4026-21-5

    2-hydroxy-2,3,3-trimethylbutanoic acid

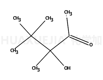
  • 75-97-8

    频哪酮

  • 4026-21-5

    2-hydroxy-2,3,3-trimethylbutanoic acid

  • 337918-45-3

    7-(2,2-dimethyl-1-oxo)propyl-6-oxa-1-azabicyclo[3.2.1]octane

  • 4026-21-5

    2-hydroxy-2,3,3-trimethylbutanoic acid