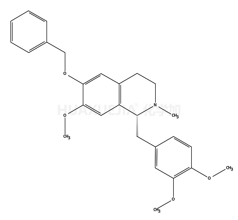
Isoquinoline, 1-[(3,4-dimethoxyphenyl)methyl]-1,2,3,4-tetrahydro-7-methoxy-2-methyl-6-(phenylmethoxy)-, (S)- (9CI)

Isoquinoline, 1-[(3,4-dimethoxyphenyl)methyl]-1,2,3,4-tetrahydro-7-methoxy-2-methyl-6-(phenylmethoxy)-, (S)- (9CI) 基本信息
CAS号 116262-26-1 分子式 C27H31NO4
分子量 433.54 精确质量  433.22531
PSA  N/A LogP  N/A

合成路线 1

  • 116195-54-1

    (S)-valino tert-butyl ether formamidine of 3-benzyloxy-4-methoxy-1,2,3,4-tetrahydro-isoquinoline

  • 116262-26-1

    (S)-(+)-1-(3',4'-dimethoxybenzyl)-6-benzyloxy-7-methoxy-2-methyl-1,2,3,4-tetrahydro-isoquinoline