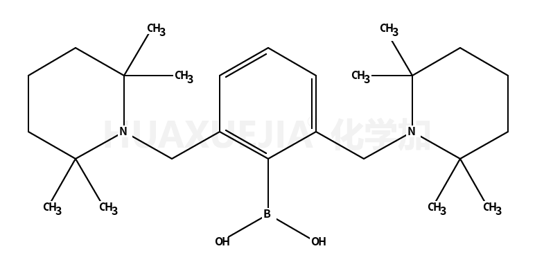
2,6-双[(2,2,6,6-四甲基-1-哌啶基)甲基]苯硼酸

2,6-双[(2,2,6,6-四甲基-1-哌啶基)甲基]苯硼酸 基本信息
CAS号 1243264-54-1 分子式 C26H45BN2O2
分子量 428.45900 精确质量  428.35700
PSA  N/A LogP  N/A

合成路线 1

  • 1243264-58-5

    1243264-58-5

  • ~73%

  • 1243264-54-1

    2,6-双[(2,2,6,6-四甲基-1-哌啶基)甲基]苯硼酸

  • 768-66-1

    2,2,6,6-四甲基哌啶

  • 1243264-54-1

    2,6-双[(2,2,6,6-四甲基-1-哌啶基)甲基]苯硼酸

  • 576-22-7

    2-溴-1,3-二甲苯

  • 1243264-54-1

    2,6-双[(2,2,6,6-四甲基-1-哌啶基)甲基]苯硼酸

  • 25006-88-6

    2-溴-1,3-双(溴乙基)苯

  • 1243264-54-1

    2,6-双[(2,2,6,6-四甲基-1-哌啶基)甲基]苯硼酸