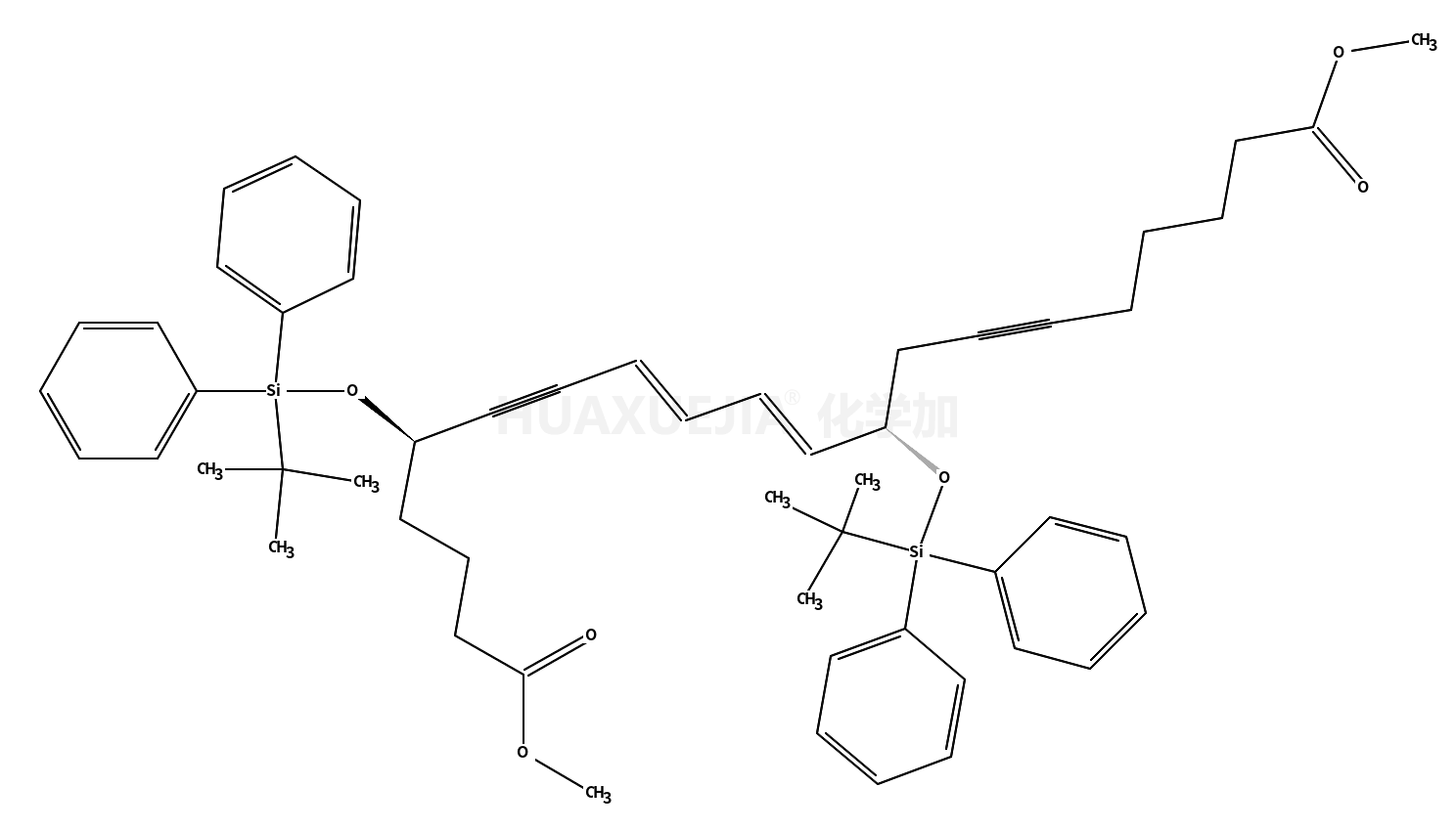
| (5S,8E,10E,12R)-dimethyl 5,12-bis((tert-butyldiphenylsilyl)oxy)icosa-8,10-dien-6,14-diynedioate 基本信息 | |||
|---|---|---|---|
| CAS号 | 106027-31-0 | 分子式 | C54H66O6Si2 | 
| 分子量 | 867.26900 | 精确质量 | 866.44000 | 
| PSA | N/A | LogP | N/A | 
 合成路线 共1页
合成路线 共1页 106027-26-3
(9R)-methyl 9-((tert-butyldiphenylsilyl)oxy)-10-((tetrahydro-2H-pyran-2-yl)oxy)dec-6-ynoate
→
106027-31-0
(5S,8E,10E,12R)-dimethyl 5,12-bis((tert-butyldiphenylsilyl)oxy)icosa-8,10-dien-6,14-diynedioate
106027-27-4
methyl (R)-9-((tert-butyldiphenylsilyl)oxy)-10-hydroxydec-6-ynoate
→
106027-31-0
(5S,8E,10E,12R)-dimethyl 5,12-bis((tert-butyldiphenylsilyl)oxy)icosa-8,10-dien-6,14-diynedioate