N-benzoyl-N'-(4-methylphenyl)thiourea

N-benzoyl-N'-(4-methylphenyl)thiourea 基本信息
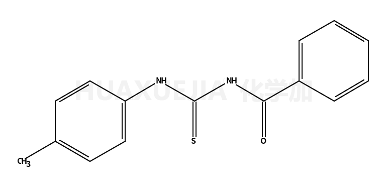
CAS号 6281-61-4 分子式 C15H14N2OS
分子量 270.34900 精确质量  270.08300
PSA  N/A LogP  N/A

合成路线 1

  • 106-49-0

    对甲苯胺

  • +

  • 532-55-8

    苯甲酰基异硫氰酸酯

  • ~99%

  • 6281-61-4

    N-benzoyl-N'-(4-methylphenyl)thiourea

  • 65-85-0

    苯甲酸

  • 6281-61-4

    N-benzoyl-N'-(4-methylphenyl)thiourea

  • 98-88-4

    苯甲酰氯

  • 6281-61-4

    N-benzoyl-N'-(4-methylphenyl)thiourea

  • 1147550-11-5

    1147550-11-5

  • +

  • 106-49-0

    对甲苯胺

  • +

  • 98-88-4

    苯甲酰氯

  • 6281-61-4

    N-benzoyl-N'-(4-methylphenyl)thiourea