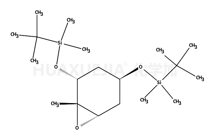
(1R,2S,4R,6R)-2,4-Bis(tert-butyldimethylsilyloxy)-1-methyl-cyclohexane 1,2-Epoxide

(1R,2S,4R,6R)-2,4-Bis(tert-butyldimethylsilyloxy)-1-methyl-cyclohexane 1,2-Epoxide 基本信息
CAS号 121289-20-1 分子式 C19H40O3Si2
分子量 372.69000 精确质量  372.25200
PSA  N/A LogP  N/A

合成路线 1

  • 18162-48-6

    叔丁基二甲基氯硅烷

  • +

  • 191849-78-2

    191849-78-2

  • ~95%

  • 121289-20-1

    (1R,2S,4R,6R)-2,4-Bis(tert-butyldimethylsilyloxy)-1-methyl-cyclohexane 1,2-Epoxide

  • 18162-48-6

    叔丁基二甲基氯硅烷

  • +

  • 132870-51-0

    (1R,3R,5S,6S)-5-(tert-butyldimethylsilyloxy)-6-methyl-7-oxabicyclo[4.1.0]heptan-3-ol

  • ~77%

  • 121289-20-1

    (1R,2S,4R,6R)-2,4-Bis(tert-butyldimethylsilyloxy)-1-methyl-cyclohexane 1,2-Epoxide

  • 121289-19-8

    tert-butyl-dimethyl-[[(1R,3R,5R,6R)-6-methyl-3-prop-1-en-2-yl-7-oxabicyclo[4.1.0]heptan-5-yl]oxy]silane

  • +

  • 18162-48-6

    叔丁基二甲基氯硅烷

  • 121289-20-1

    (1R,2S,4R,6R)-2,4-Bis(tert-butyldimethylsilyloxy)-1-methyl-cyclohexane 1,2-Epoxide

  • 191849-75-9

    191849-75-9

  • 121289-20-1

    (1R,2S,4R,6R)-2,4-Bis(tert-butyldimethylsilyloxy)-1-methyl-cyclohexane 1,2-Epoxide

  • 132870-50-9

    132870-50-9

  • 121289-20-1

    (1R,2S,4R,6R)-2,4-Bis(tert-butyldimethylsilyloxy)-1-methyl-cyclohexane 1,2-Epoxide

  • 121289-19-8

    tert-butyl-dimethyl-[[(1R,3R,5R,6R)-6-methyl-3-prop-1-en-2-yl-7-oxabicyclo[4.1.0]heptan-5-yl]oxy]silane

  • 121289-20-1

    (1R,2S,4R,6R)-2,4-Bis(tert-butyldimethylsilyloxy)-1-methyl-cyclohexane 1,2-Epoxide

  • 6485-40-1

    左旋香芹酮

  • 121289-20-1

    (1R,2S,4R,6R)-2,4-Bis(tert-butyldimethylsilyloxy)-1-methyl-cyclohexane 1,2-Epoxide

  • 36616-60-1

    p-Menth-8-en-2-one, 1,6-epoxy-, (1R,4R,6R)-(-)-

  • 121289-20-1

    (1R,2S,4R,6R)-2,4-Bis(tert-butyldimethylsilyloxy)-1-methyl-cyclohexane 1,2-Epoxide

  • 35692-59-2

    (-)-1,6-Epoxyisodihydrocarveol

  • 121289-20-1

    (1R,2S,4R,6R)-2,4-Bis(tert-butyldimethylsilyloxy)-1-methyl-cyclohexane 1,2-Epoxide