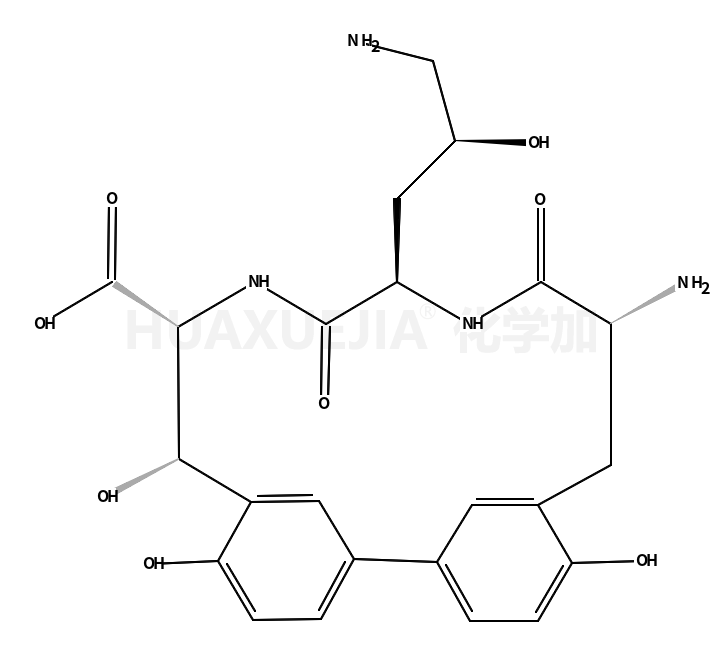
联苯并霉素 A

联苯并霉素 A 基本信息
CAS号 100296-21-7 分子式 C23H28N4O8
分子量 488.49000 精确质量  488.19100
PSA  N/A LogP  N/A

合成路线 1

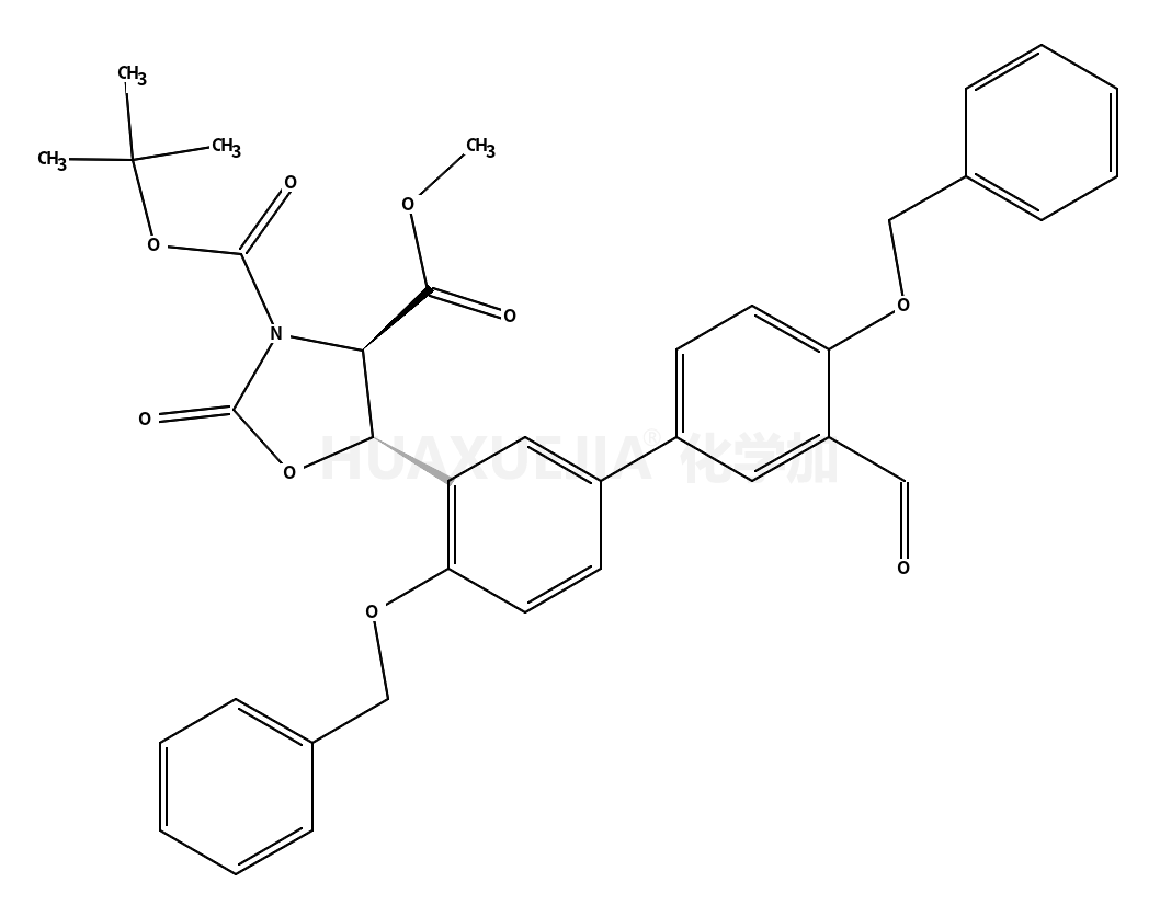
  • 143164-87-8

    143164-87-8

  • 100296-21-7

    联苯并霉素 A

  • 143164-86-7

    143164-86-7

  • 100296-21-7

    联苯并霉素 A

  • 871206-25-6

    871206-25-6

  • 100296-21-7

    联苯并霉素 A

  • 146388-30-9

    146388-30-9

  • 100296-21-7

    联苯并霉素 A

  • 146388-29-6

    146388-29-6

  • 100296-21-7

    联苯并霉素 A

  • 143164-84-5

    143164-84-5

  • 100296-21-7

    联苯并霉素 A

  • 1027532-24-6

    1027532-24-6

  • 100296-21-7

    联苯并霉素 A

  • 146388-31-0

    146388-31-0

  • 100296-21-7

    联苯并霉素 A

  • 146335-31-1

    146335-31-1

  • 100296-21-7

    联苯并霉素 A

  • 146335-30-0

    146335-30-0

  • 100296-21-7

    联苯并霉素 A

  • 146335-27-5

    146335-27-5

  • 100296-21-7

    联苯并霉素 A

  • 146335-28-6

    146335-28-6

  • 100296-21-7

    联苯并霉素 A

  • 146335-29-7

    146335-29-7

  • 100296-21-7

    联苯并霉素 A

  • 146335-26-4

    methyl 5-iodo-2-phenylmethoxybenzoate

  • 100296-21-7

    联苯并霉素 A

  • 146335-32-2

    2-(Benzyloxy)-5-iodobenzoic acid

  • 100296-21-7

    联苯并霉素 A

  • 143164-83-4

    143164-83-4

  • 100296-21-7

    联苯并霉素 A

  • 143164-81-2

    143164-81-2

  • 100296-21-7

    联苯并霉素 A

  • 143164-82-3

    143164-82-3

  • 100296-21-7

    联苯并霉素 A

  • 146335-34-4

    146335-34-4

  • 100296-21-7

    联苯并霉素 A

  • 143164-80-1

    143164-80-1

  • 100296-21-7

    联苯并霉素 A

  • 146335-33-3

    146335-33-3

  • 100296-21-7

    联苯并霉素 A

  • 121124-96-7

    2-(2-benzyloxy-5-bromophenyl)-[1,3]dioxane

  • 100296-21-7

    联苯并霉素 A

  • 121124-94-5

    2-苄氧基-5-溴苯甲醛

  • 100296-21-7

    联苯并霉素 A