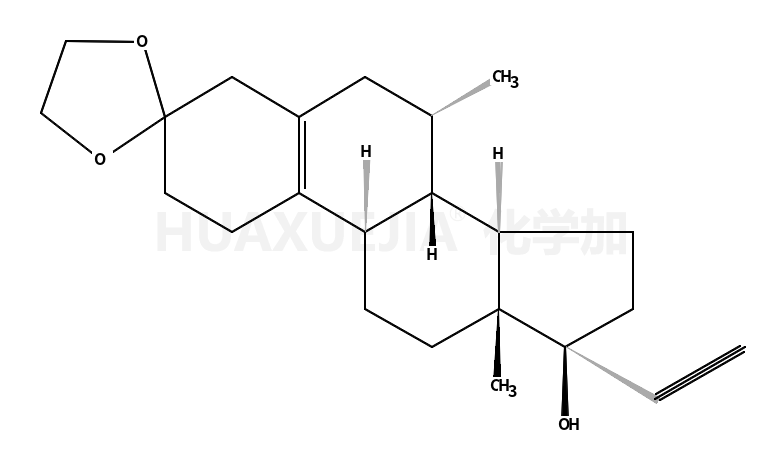
Tibolone 3-Ethylene Ketal

Tibolone 3-Ethylene Ketal 基本信息
CAS号 677299-58-0 分子式 C23H32O3
分子量 356.49800 精确质量  356.23500
PSA  N/A LogP  N/A

合成路线 1

  • 1162-60-3

    (7a,17a)-17-羟基-7-甲基-19-去甲孕甾-4-烯-20-炔-3-酮

  • +

  • 107-21-1

    乙二醇

  • ~63%

  • 677299-58-0

    Tibolone 3-Ethylene Ketal

  • 141664-12-2

    (7R,8R,9S,13S,14S)-7,13-dimethylspiro[1,2,4,6,7,8,9,11,12,14,15,16-dodecahydrocyclopenta[a]phenanthrene-3,2'-1,3-dioxolane]-17-one

  • +

  • 74-86-2

    乙炔

  • ~54%

  • 677299-58-0

    Tibolone 3-Ethylene Ketal