欢迎来到化学加!萃聚英才,共享化学!化学加,加您更精彩!
首页
注册入驻
网站资讯
化学加_合成化学产业资源聚合服务平台
www.huaxuejia.cn
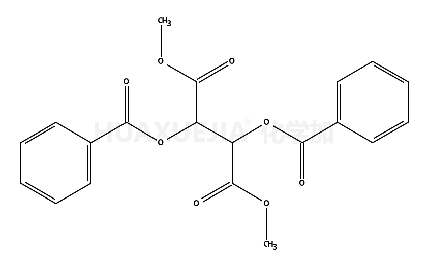
dimethyl 2,3-dibenzoyloxybutanedioate
dimethyl 2,3-dibenzoyloxybutanedioate 基本信息
CAS号
6304-99-0
分子式
C20H18O8
分子量
386.35200
精确质量
386.10000
PSA
N/A
LogP
N/A
合成路线
共
1
页
608-68-4
L-(+)-酒石酸二甲酯
+
98-88-4
苯甲酰氯
→
6304-99-0
dimethyl 2,3-dibenzoyloxybutanedioate
67-56-1
甲醇
→
6304-99-0
dimethyl 2,3-dibenzoyloxybutanedioate
合成路线