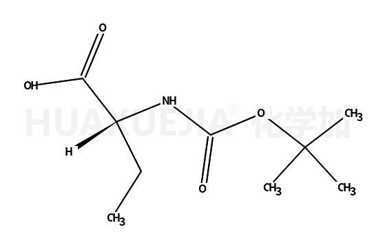
BOC-L-2-氨基丁酸

BOC-L-2-氨基丁酸 基本信息
CAS号 34306-42-8 分子式 C9H17NO4
分子量 203.23600 精确质量  203.11600
PSA  N/A LogP  N/A

合成路线 1

  • 58561-08-3

    (S)-methyl 2-(((tert-butoxy)carbonyl)amino)butanoate

  • ~99%

  • 34306-42-8

    BOC-L-2-氨基丁酸

  • 1492-24-6

    L-2-氨基丁酸

  • ~99%

  • 34306-42-8

    BOC-L-2-氨基丁酸

  • 1492-24-6

    L-2-氨基丁酸

  • +

  • 24424-99-5

    二碳酸二叔丁酯

  • ~98%

  • 34306-42-8

    BOC-L-2-氨基丁酸

  • 58561-08-3

    (S)-methyl 2-(((tert-butoxy)carbonyl)amino)butanoate

  • ~96%

  • 34306-42-8

    BOC-L-2-氨基丁酸

  • +

  • 112392-65-1

    (S)-methyl 2-(((tert-butoxy)carbonyl)amino)butanoate

  • 1070-19-5

    叔丁基叠氮酸盐

  • +

  • 1492-24-6

    L-2-氨基丁酸

  • ~87%

  • 34306-42-8

    BOC-L-2-氨基丁酸

  • 185509-01-7

    185509-01-7

  • 45121-22-0

    N-BOC-D-氨基丁酸

  • +

  • 34306-42-8

    BOC-L-2-氨基丁酸

  • 910126-31-7

    910126-31-7

  • 34306-42-8

    BOC-L-2-氨基丁酸

  • +

  • 70672-05-8

    3-O-Methylfluorescein

  • 178602-41-0

    Butanoic acid, 2-[[(1,1-dimethylethoxy)carbonyl]amino]-,1,1-dimethylethyl ester, (S)-

  • 34306-42-8

    BOC-L-2-氨基丁酸

  • 178432-66-1

    Carbamic acid, [1-[[(1,1-dimethylethyl)amino]carbonyl]propyl]-,1,1-dimethylethyl ester, (S)-

  • 34306-42-8

    BOC-L-2-氨基丁酸

  • 1492-24-6

    L-2-氨基丁酸

  • +

  • 58632-95-4

    2-(叔丁氧羰基氧亚氨基)-2-苯乙腈

  • 34306-42-8

    BOC-L-2-氨基丁酸

  • 33900-24-2

    N-tert-butoxycarbonyl-L-methionine methyl ester

  • 34306-42-8

    BOC-L-2-氨基丁酸

  • 2488-15-5

    Boc-L-蛋氨酸

  • 34306-42-8

    BOC-L-2-氨基丁酸

  • 178432-72-9

    178432-72-9

  • 34306-42-8

    BOC-L-2-氨基丁酸

  • 178432-74-1

    Carbamic acid,[2-[(1,1-dimethylethyl)amino]-1-(hydroxymethyl)-2-oxoethyl]-,1,1-dimethylethyl ester, (S)-

  • 34306-42-8

    BOC-L-2-氨基丁酸

  • 3262-72-4

    BOC-L-丝氨酸

  • 34306-42-8

    BOC-L-2-氨基丁酸

  • 1026599-79-0

    1026599-79-0

  • 34306-42-8

    BOC-L-2-氨基丁酸

  • 185508-77-4

    185508-77-4

  • 34306-42-8

    BOC-L-2-氨基丁酸

  • 161203-15-2

    161203-15-2

  • 34306-42-8

    BOC-L-2-氨基丁酸

  • 4530-20-5

    BOC-甘氨酸

  • 34306-42-8

    BOC-L-2-氨基丁酸

  • 24424-99-5

    二碳酸二叔丁酯

  • 34306-42-8

    BOC-L-2-氨基丁酸

  • 91028-39-6

    (2S)-[N-(tert-butoxycarbonyl)amino]-3-pentenoic acid

  • 34306-42-8

    BOC-L-2-氨基丁酸