| 他卡西妥 基本信息 | |||
|---|---|---|---|
| CAS号 | 57333-96-7 | 分子式 | C27H44O3 |
| 分子量 | 416.63600 | 精确质量 | 416.32900 |
| PSA | 60.69000 | LogP | 5.56060 |
基本信息
展开↓
生产制备方法及用途展开↓
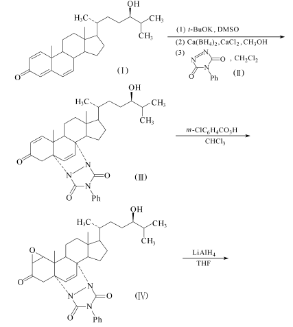
889.5mg化合物(Ⅰ)溶于30ml二甲亚砜,加入叔丁醇钾(从0.5g钾制得),在氩气下于20℃反应30min。倾入冰水,用乙醚提取。提取液用水洗,干燥,浓缩。残物溶于乙醚,在-10℃或以下,将其滴到硼氢化钙和氯化钙在甲醇的溶液中,再在-10℃搅拌1h。用乙酸水溶液破坏过量的硼氢化钙,然后浓缩,再用二氯甲烷提取。提取液水洗,干燥,浓缩。残物溶于二氯甲烷,分小批量加入化合物(Ⅱ)。加毕,在室温搅拌1h。蒸出溶剂,残物经硅胶层析,以1%甲醇的氯仿溶液洗脱,得400.35mg化合物(Ⅲ)。
400.35mg化合物(Ⅲ)溶于氯仿,加入间氯过苯甲酸,在25℃搅拌40h。反应液用碳酸钾水溶液和水洗,干燥,浓缩。残物经硅胶层析,以1%甲醇的氯仿溶液洗脱,得170.6mg化合物(Ⅳ)。
83.0mg化合物(Ⅳ)溶于干燥四氢呋喃,小批量加入氢化铝锂,温和回流1h。加入硫酸钠以破坏过量的氢化铝锂。分出有机层,干燥,浓缩。残物经SephadexLH-20层析提纯,以氯仿-己烷(65:35体积比)洗脱,得到21.3mg化合物(V)。
21.3mg化合物(V)溶于乙醚,以400W高压汞灯照射,在照射中通过通入氩气来搅拌。浓缩,残物经SephadexLH-20层析,以氯仿-己烷(65:35体积比)洗脱,得3.64mg产物。
抗牛皮癣、角化症药。用于牛皮癣、鱼鳞癣、掌跖脓疤症及角化症等。
物化性质展开↓
1.性状:白色固体。
2.UV最大吸收(乙醇):265nm。
安全信息展开↓
毒理性展开↓
分子结构与计算化学数据展开↓
1、 摩尔折射率:124.30
2、 摩尔体积(cm3/mol):392.7
3、 等张比容(90.2K):1009.4
4、 表面张力(dyne/cm):43.6
5、 极化率(10-24cm3):49.27
1.疏水参数计算参考值(XlogP):5.3
2.氢键供体数量:3
3.氢键受体数量:3
4.可旋转化学键数量:6
5.互变异构体数量:无
6.拓扑分子极性表面积60.7
7.重原子数量:30
8.表面电荷:0
9.复杂度:676
10.同位素原子数量:0
11.确定原子立构中心数量:7
12.不确定原子立构中心数量:0
13.确定化学键立构中心数量:2
14.不确定化学键立构中心数量:0
15.共价键单元数量:1