欢迎来到化学加!萃聚英才,共享化学!化学加,加您更精彩!
首页
注册入驻
网站资讯
化学加_合成化学产业资源聚合服务平台
www.huaxuejia.cn
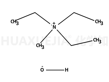
三乙基甲基氢氧化铵
三乙基甲基氢氧化铵 基本信息
CAS号
109334-81-8
分子式
C7H19NO
分子量
133.23200
精确质量
133.14700
PSA
N/A
LogP
N/A
合成路线
共
1
页
121-44-8
三乙胺
+
74-88-4
甲基碘
→
109334-81-8
三乙基甲基氢氧化铵
合成路线