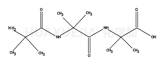
2-[[2-[(2-amino-2-methylpropanoyl)amino]-2-methylpropanoyl]amino]-2-methylpropanoic acid

2-[[2-[(2-amino-2-methylpropanoyl)amino]-2-methylpropanoyl]amino]-2-methylpropanoic acid 基本信息
CAS号 50348-89-5 分子式 C12H23N3O4
分子量 273.32900 精确质量  273.16900
PSA  N/A LogP  N/A

合成路线 1

  • 75755-40-7

    N,3,3-trimethyl-N-phenylazirin-2-amine

  • +

  • 84758-81-6

    2-氨基-2-甲基丙酸叔丁酯盐酸盐

  • ~33%

  • 50348-89-5

    2-[[2-[(2-amino-2-methylpropanoyl)amino]-2-methylpropanoyl]amino]-2-methylpropanoic acid