| 米非司酮 基本信息 | |||
|---|---|---|---|
| CAS号 | 84371-65-3 | 分子式 | C29H35NO2 |
| 分子量 | 429.59400 | 精确质量 | 429.26700 |
| PSA | 40.54000 | LogP | 5.40650 |
基本信息
展开↓
生产制备方法及用途展开↓
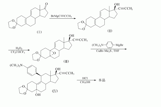
方法1:以4,9雌甾二烯-3,17-二酮的3位缩酮化合物(Ⅰ)为原料,和丙炔溴化镁格氏试剂反应,在17位引入丙炔基,得到化合物(Ⅱ)。接着对5位烯键进行选择性环氧化,得化合物(Ⅲ)。然后在含溴化铜-甲硫醚络合物的四氢呋喃中,和对二甲氨基苯溴化镁反应,在11位引入对二甲氨基苯基,得化合物(Ⅳ)。最后在甲醇中,用盐酸水解并脱水,得到米非司酮。收率21.5%。

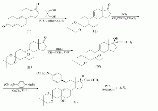
方法2:同样以4,9-雌甾二烯-3,17-二酮为原料,对3位羰基进行保护;然后先环氧化,再在17位引入丙炔基,在11位引入对二甲氨基苯基,最后水解得到米非司酮。和路线1相比,仅在环氧化和引入丙炔基的先后顺序上不同,反应步骤相同。总收率35%-40%。

1.新型抗孕激素,并有抗糖皮质激素的活性,而无孕激素、雌性激素、雄性激素和抗雌性激素的活性。和孕酮受体的亲和力比黄体酮强5倍。用于抗早孕、催经止孕、胎死官内引产等。用作抗早孕药
2.新型抗孕激素,并有抗糖皮质激素的活性。米非司酮具有抗受精卵着床,诱导月经及促进宫颈成熟的作
用,其催经止孕的机理主要是通过竞争内膜(蜕膜)的孕酮受体,阻断孕酮的作用。和孕酮受体的亲和力比黄体酮强5倍。用于抗早孕、催经止孕、胎死宫内引产等。
物化性质展开↓
2-8°C冷藏、密闭、干燥处
按规定使用和贮存的不会分解,避氧化物
1. 性状:淡黄色结晶性粉末,无臭、无味。
2. 密度(g/mL25 ºC):未确定
3. 相对蒸汽密度(g/mL,空气=1):未确定
4. 熔点(ºC):150
5. 沸点(ºC,常压):未确定
6. 沸点(ºC11mmHg):未确定
7. 折射率:未确定
8. 闪点(ºC):未确定
9. 比旋光度(º):[α]D20+138.5°(C=0.5,氯仿)
10. 自燃点或引燃温度(ºC):未确定
11. 蒸气压(kPa,):未确定
12. 饱和蒸气压(kPa,60ºC):未确定
13. 燃烧热(KJ/mol):未确定
14. 临界温度(ºC):未确定
15. 临界压力(KPa):未确定
16. 油水(正辛醇/水)分配系数的对数值:未确定
17. 爆炸上限(%,V/V):未确定
18. 爆炸下限(%,V/V):未确定
19. 溶解性:在甲醇或二氯甲烷中易溶,在乙醇或乙酸乙酯中溶解,在水中几乎不溶。
安全信息展开↓
毒理性展开↓
急性毒性LD50小鼠(g/kg):>2.6腹腔注射
MSDS 展开↓
分子结构与计算化学数据展开↓
1.疏水参数计算参考值(XlogP):3.8
2.氢键供体数量:1
3.氢键受体数量:3
4.可旋转化学键数量:3
5.互变异构体数量:21
6.拓扑分子极性表面积40.5
7.重原子数量:32
8.表面电荷:0
9.复杂度:921
10.同位素原子数量:0
11.确定原子立构中心数量:5
12.不确定原子立构中心数量:0
13.确定化学键立构中心数量:0
14.不确定化学键立构中心数量:0
15.共价键单元数量:1
上下游相关产品104004-96-8
N-去甲米非司酮