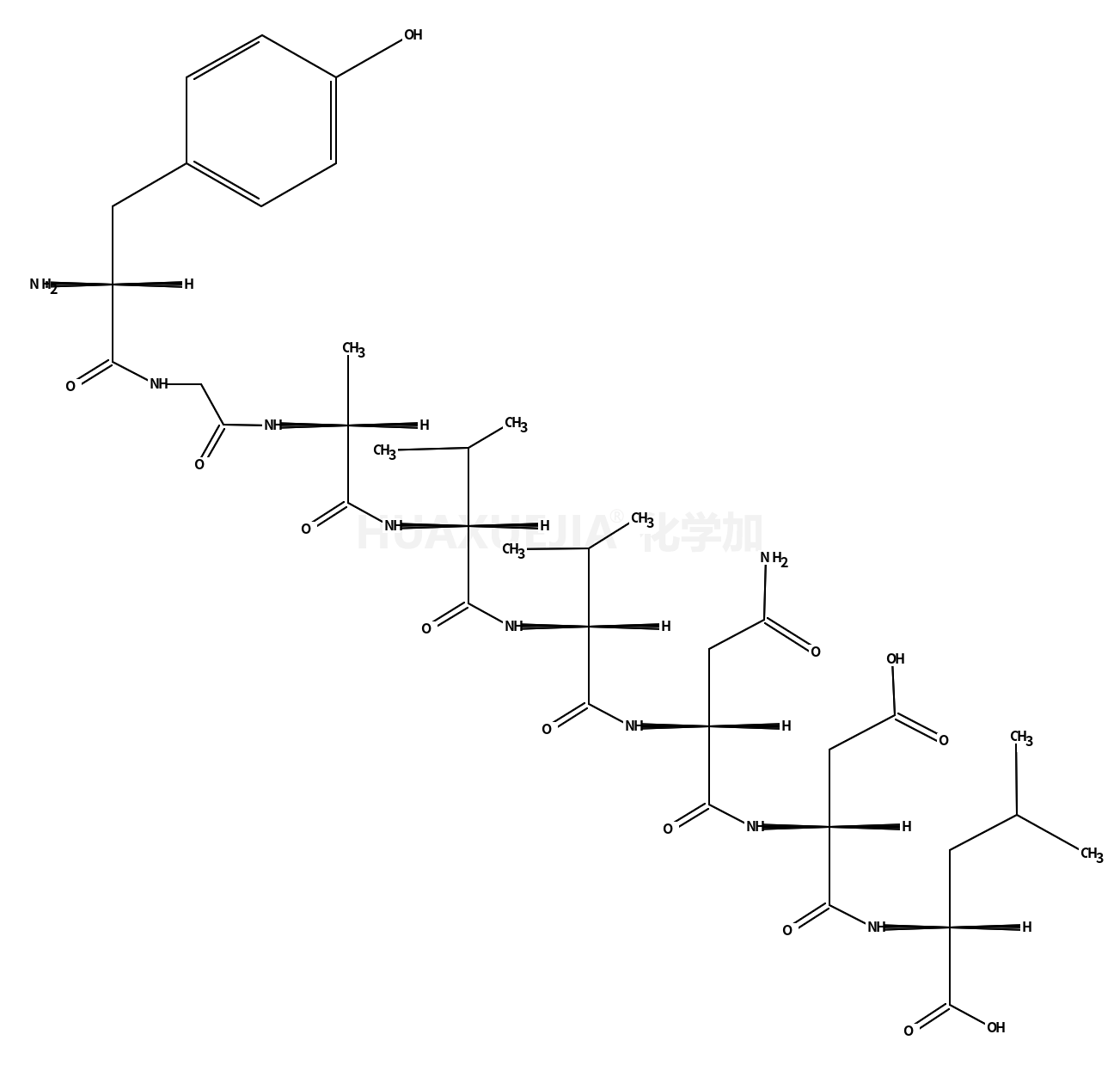
2-[[2-[[4-amino-2-[[2-[[2-[2-[[2-[[2-amino-3-(4-hydroxyphenyl)propanoyl]amino]acetyl]amino]propanoylamino]-3-methylbutanoyl]amino]-3-methylbutanoyl]amino]-4-oxobutanoyl]amino]-3-carboxypropanoyl]amino]-4-methylpentanoic acid

2-[[2-[[4-amino-2-[[2-[[2-[2-[[2-[[2-amino-3-(4-hydroxyphenyl)propanoyl]amino]acetyl]amino]propanoylamino]-3-methylbutanoyl]amino]-3-methylbutanoyl]amino]-4-oxobutanoyl]amino]-3-carboxypropanoyl]amino]-4-methylpentanoic acid 基本信息
CAS号 103424-74-4 分子式 C38H59N9O13
分子量 849.92800 精确质量  849.42300
PSA  N/A LogP  N/A

合成路线 1

  • 4530-20-5

    BOC-甘氨酸

  • +

  • 13734-41-3

    N-Boc-L-缬氨酸

  • +

  • 15761-38-3

    N-叔丁氧羰基-L-丙氨酸

  • +

  • 47689-67-8

    N-叔丁氧羰基-O-(2-溴苄氧羰基)-L-酪氨酸

  • 103424-74-4

    2-[[2-[[4-amino-2-[[2-[[2-[2-[[2-[[2-amino-3-(4-hydroxyphenyl)propanoyl]amino]acetyl]amino]propanoylamino]-3-methylbutanoyl]amino]-3-methylbutanoyl]amino]-4-oxobutanoyl]amino]-3-carboxypropanoyl]amino]-4-methylpentanoic acid