欢迎来到化学加!萃聚英才,共享化学!化学加,加您更精彩!
首页
注册入驻
网站资讯
化学加_合成化学产业资源聚合服务平台
www.huaxuejia.cn
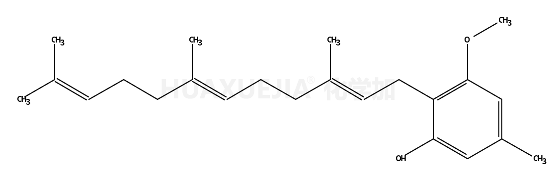
3-Methoxy-5-methyl-2-[(2E,6E)-3,7,11-trimethyl-2,6,10-dodecatrienyl]phenol
3-Methoxy-5-methyl-2-[(2E,6E)-3,7,11-trimethyl-2,6,10-dodecatrienyl]phenol 基本信息
CAS号
64432-04-8
分子式
C23H34O2
分子量
342.522
精确质量
N/A
PSA
N/A
LogP
N/A
我要卖该产品
我要采购该产品
充值推广
查看更多供应商
目录
基本信息
基本信息
展开↓
CAS号:
64432-04-8
3D弹球模型:
立即前往扯扯看
分子式:
C23H34O2
分子量:
342.522
英文名称:
3-Methoxy-5-methyl-2-[(2E,6E)-3,7,11-trimethyl-2,6,10-dodecatrienyl]phenol
英文别名:
3-Methoxy-5-methyl-2-[(2E,6E)-3,7,11-trimethyl-2,6,10-dodecatrienyl]phenol
InChI:
The Key: OJJOUHFECGXRFJ-NWLVNBMCSA-N
基本信息
立即下载安装“化学加”APP
专业、功能强大,随时调用更加方便
专业、功能强大,随时调用更加方便
下载APP