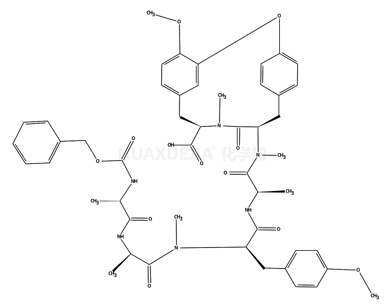
(5S,8S)-36-methoxy-8-((5R,8S,11S,14S)-11-(4-methoxybenzyl)-N,5,8,10,14-pentamethyl-3,6,9,12-tetraoxo-1-phenyl-2-oxa-4,7,10,13-tetraazapentadecan-15-amido)-6-methyl-7-oxo-2-oxa-6-aza-1(1,4),3(1,3)-dibenzenacyclononaphane-5-carboxylic acid

(5S,8S)-36-methoxy-8-((5R,8S,11S,14S)-11-(4-methoxybenzyl)-N,5,8,10,14-pentamethyl-3,6,9,12-tetraoxo-1-phenyl-2-oxa-4,7,10,13-tetraazapentadecan-15-amido)-6-methyl-7-oxo-2-oxa-6-aza-1(1,4),3(1,3)-dibenzenacyclononaphane-5-carboxylic acid 基本信息
CAS号 115441-70-8 分子式 C49H58N6O12
分子量 923.01800 精确质量  922.41100
PSA  N/A LogP  N/A

合成路线 1

  • 108969-73-9

    methyl (5S,8S)-36-methoxy-8-((5R,8S,11S,14S)-11-(4-methoxybenzyl)-N,5,8,10,14-pentamethyl-3,6,9,12-tetraoxo-1-phenyl-2-oxa-4,7,10,13-tetraazapentadecan-15-amido)-6-methyl-7-oxo-2-oxa-6-aza-1(1,4),3(1,3)-dibenzenacyclononaphane-5-carboxylate

  • ~26%

  • 115441-70-8

    (5S,8S)-36-methoxy-8-((5R,8S,11S,14S)-11-(4-methoxybenzyl)-N,5,8,10,14-pentamethyl-3,6,9,12-tetraoxo-1-phenyl-2-oxa-4,7,10,13-tetraazapentadecan-15-amido)-6-methyl-7-oxo-2-oxa-6-aza-1(1,4),3(1,3)-dibenzenacyclononaphane-5-carboxylic acid

  • 108969-80-8

    108969-80-8

  • 115441-70-8

    (5S,8S)-36-methoxy-8-((5R,8S,11S,14S)-11-(4-methoxybenzyl)-N,5,8,10,14-pentamethyl-3,6,9,12-tetraoxo-1-phenyl-2-oxa-4,7,10,13-tetraazapentadecan-15-amido)-6-methyl-7-oxo-2-oxa-6-aza-1(1,4),3(1,3)-dibenzenacyclononaphane-5-carboxylic acid

  • 108969-75-1

    methyl (5S,8S)-8-(((benzyloxy)carbonyl)(methyl)amino)-35-bromo-12,16-dichloro-36-methoxy-6-methyl-7-oxo-2-oxa-6-aza-1(1,4),3(1,3)-dibenzenacyclononaphane-5-carboxylate

  • 115441-70-8

    (5S,8S)-36-methoxy-8-((5R,8S,11S,14S)-11-(4-methoxybenzyl)-N,5,8,10,14-pentamethyl-3,6,9,12-tetraoxo-1-phenyl-2-oxa-4,7,10,13-tetraazapentadecan-15-amido)-6-methyl-7-oxo-2-oxa-6-aza-1(1,4),3(1,3)-dibenzenacyclononaphane-5-carboxylic acid

  • 108969-74-0

    methyl (5S,8S)-8-(((benzyloxy)carbonyl)(methyl)amino)-35-bromo-12,16-dichloro-36-hydroxy-6-methyl-7-oxo-2-oxa-6-aza-1(1,4),3(1,3)-dibenzenacyclononaphane-5-carboxylate

  • 115441-70-8

    (5S,8S)-36-methoxy-8-((5R,8S,11S,14S)-11-(4-methoxybenzyl)-N,5,8,10,14-pentamethyl-3,6,9,12-tetraoxo-1-phenyl-2-oxa-4,7,10,13-tetraazapentadecan-15-amido)-6-methyl-7-oxo-2-oxa-6-aza-1(1,4),3(1,3)-dibenzenacyclononaphane-5-carboxylic acid

  • 108969-88-6

    N-benzyloxycarbonyl-2,6-dichloro-N-methyltyrosine

  • 115441-70-8

    (5S,8S)-36-methoxy-8-((5R,8S,11S,14S)-11-(4-methoxybenzyl)-N,5,8,10,14-pentamethyl-3,6,9,12-tetraoxo-1-phenyl-2-oxa-4,7,10,13-tetraazapentadecan-15-amido)-6-methyl-7-oxo-2-oxa-6-aza-1(1,4),3(1,3)-dibenzenacyclononaphane-5-carboxylic acid

  • 108969-87-5

    2,6-dibromo-N-methyltyrosine methyl ester

  • 115441-70-8

    (5S,8S)-36-methoxy-8-((5R,8S,11S,14S)-11-(4-methoxybenzyl)-N,5,8,10,14-pentamethyl-3,6,9,12-tetraoxo-1-phenyl-2-oxa-4,7,10,13-tetraazapentadecan-15-amido)-6-methyl-7-oxo-2-oxa-6-aza-1(1,4),3(1,3)-dibenzenacyclononaphane-5-carboxylic acid