欢迎来到化学加!萃聚英才,共享化学!化学加,加您更精彩!
首页
注册入驻
网站资讯
化学加_合成化学产业资源聚合服务平台
www.huaxuejia.cn
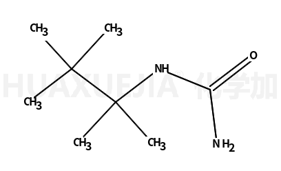
2,3,3-trimethylbutan-2-ylurea
2,3,3-trimethylbutan-2-ylurea 基本信息
CAS号
61455-13-8
分子式
C8H18N2O
分子量
158.24100
精确质量
158.14200
PSA
N/A
LogP
N/A
合成路线
共
1
页
594-83-2
五甲基乙醇
+
57-13-6
尿素
→
61455-13-8
2,3,3-trimethylbutan-2-ylurea
合成路线