Benzamide, N-[[ (4-hydroxyphenyl)amino]thioxomethyl]-

Benzamide, N-[[ (4-hydroxyphenyl)amino]thioxomethyl]- 基本信息
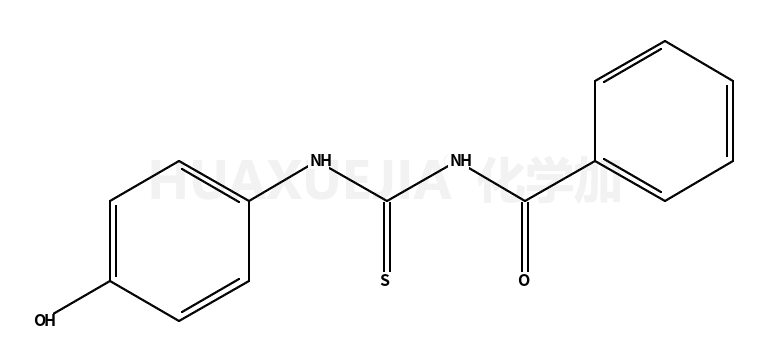
CAS号 5461-34-7 分子式 C14H12N2O2S
分子量 272.32200 精确质量  272.06200
PSA  N/A LogP  N/A

合成路线 1

  • 123-30-8

    4-氨基苯酚

  • +

  • 532-55-8

    苯甲酰基异硫氰酸酯

  • ~96%

  • 5461-34-7

    Benzamide, N-[[ (4-hydroxyphenyl)amino]thioxomethyl]-

  • 1147550-11-5

    1147550-11-5

  • +

  • 123-30-8

    4-氨基苯酚

  • +

  • 98-88-4

    苯甲酰氯

  • ~88%

  • 5461-34-7

    Benzamide, N-[[ (4-hydroxyphenyl)amino]thioxomethyl]-

  • 98-88-4

    苯甲酰氯

  • 5461-34-7

    Benzamide, N-[[ (4-hydroxyphenyl)amino]thioxomethyl]-