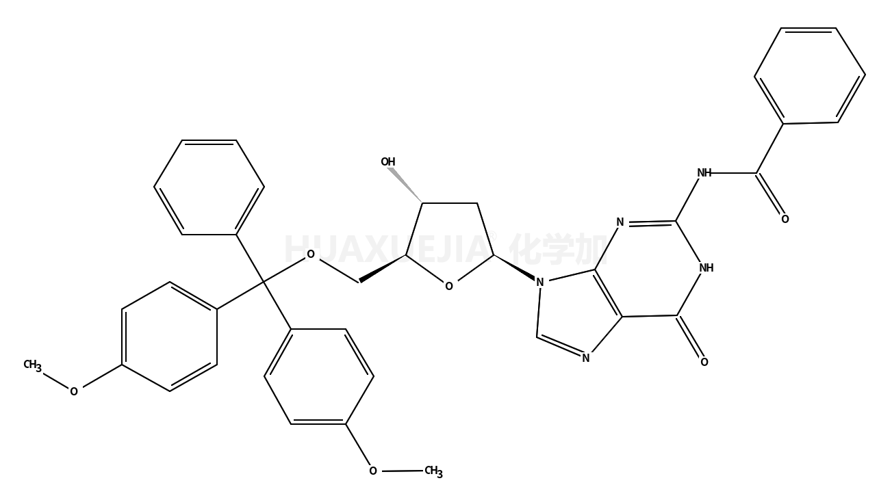
N-[9-[(2R,4S,5R)-5-[[bis(4-methoxyphenyl)-phenylmethoxy]methyl]-4-hydroxyoxolan-2-yl]-6-oxo-3H-purin-2-yl]benzamide

N-[9-[(2R,4S,5R)-5-[[bis(4-methoxyphenyl)-phenylmethoxy]methyl]-4-hydroxyoxolan-2-yl]-6-oxo-3H-purin-2-yl]benzamide 基本信息
CAS号 109464-23-5 分子式 C38H35N5O7
分子量 673.71400 精确质量  673.25400
PSA  N/A LogP  N/A

合成路线 1

  • 961-07-9

    2'-脱氧鸟苷水合物

  • 109464-23-5

    N-[9-[(2R,4S,5R)-5-[[bis(4-methoxyphenyl)-phenylmethoxy]methyl]-4-hydroxyoxolan-2-yl]-6-oxo-3H-purin-2-yl]benzamide